1. 20000428 Soil Sampling GIWW Matagorda Reroute.pdf

    alt
     
    )
    Exhibit 1, Page 4 of 4
    Sample No.
    00-26
    Time: 1515
    Location: Placement Area 116, approx.
    1600
    ft
    north of east end of GIWW
    realignment
    Visual Description: Sand layer (with shell fragments and rock) varying between
    0.6-0.8
    ft,
    overlying 2
    ft
    material, then sand again. Same results in at a second location within placement area.
    Water Depth: 9.4
    ft
    Weight of Rod: 0 ft
    Pipe Drop:
    0
    ft
    Pipe Push: 0 ft
    Refusal Depth:
    NI
    A
    PVC Push Tube Sample Depth:
    N/A
    of soft
    Sample No.
    00-24
    Location: Southwest side of intersection of Channel to Palacios and GJWW reroute
    Placement Area
    No.1
    Time: 1559
    Visual Description: Soft, silty clay
    Water Depth:
    11.0
    ft
    Weight of Rod: 2.2
    ft
    Pipe Drop: 5 ft
    Pipe Push:
    NI
    A
    Refusal Depth:
    N/A
    PVC Push Tube Sample Depth:
    N/A
    Sample Site No.00-25
    Location: Placement Area 7, approx. 3,000 ft east of the Matagorda Ship Channel,
    approx.
    9,000
    ft
    north of the GrWW reroute.
    Time: 1627
    Visual Description: Hard packed sand. No sampling or tests possible. Size of sand reef unknown. Need
    Contractor to sample area with grid points to measure size
    of placement area and
    Shallow sand.
    Water Depth: 2-4
    ft, varies.
    Weight
    of Rod:
    N/A
    Pipe Drop:
    NI
    A
    Pipe Push:
    NI
    A
    Refusal Depth:
    N/A
    PVC Push Tube Sample Depth:
    N/A

    alt
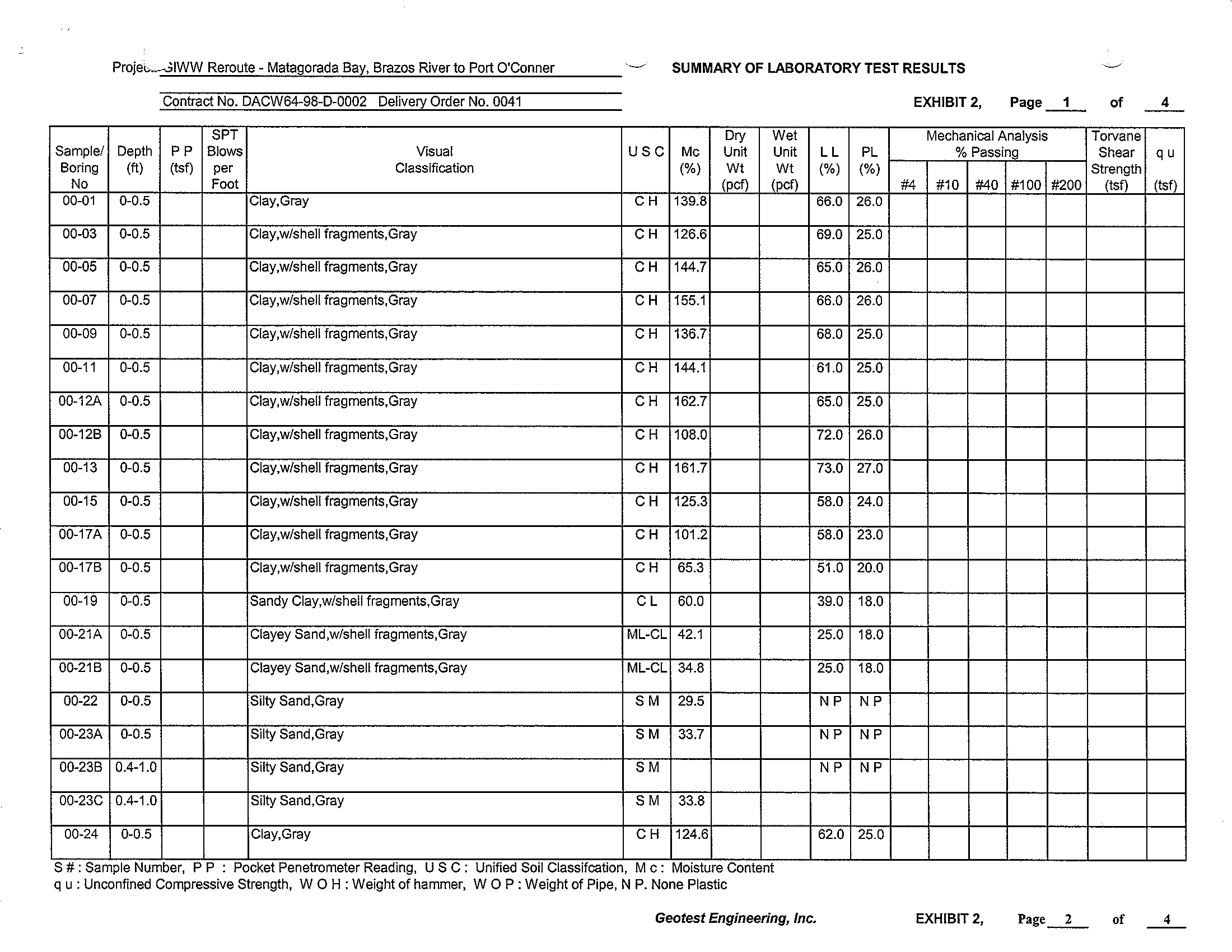
    Projec...-3IWW Reroute - Matagorada Bay, Brazos River to Port O'Conner
    SUMMARY OF LABORATORY
    TEST
    RESULTS
    Contract No. DACW64-9S-D-0002 Delivery Order No. 0041
    SPT
    Dry
    Wet
    Samplel Depth
    PP
    Blows
    Visual
    USC
    Me
    Unit
    Unit
    Boring
    (It)
    (tsf)
    per
    Classification
    (%)
    Wt
    Wt
    No
    Foot
    (pel)
    (pcf)
    00-01
    0-0.5
    ClaY,Gray
    CH
    139.S
    00-03
    0-0.5
    Clay,wlshell
    fragments,Gray
    CH
    126.6
    00-05
    0-0.5
    ClaY,wlshell
    fragments,Gray
    CH
    144.7
    00-07
    0-0.5
    Clay,wlshell fragments,Gray
    CH
    155.1
    00-09
    0-0.5
    ClaY,wlshell fragments,Gray
    CH
    136.7
    00-11
    0-0.5
    Clay,wlshell fragments,Gray
    CH
    144.1
    00-12A
    0-0.5
    Clay,wlshell fragments,Gray
    CH
    162.7
    00-12B
    0-0.5
    Clay,wlshell fragments,Gray
    CH
    10S.0
    00-13
    0-0.5
    ClaY,wlshell
    fragments,Gray
    CH
    161.7
    00-15
    0-0.5
    ClaY,wlshell
    fragments,Gray
    CH
    125.3
    00-17A
    0-0.5
    Clay,wlshell fragments,Gray
    CH
    101.2
    00-17B
    0-0.5
    ClaY,wlshell
    fragments,Gray
    CH
    65.3
    00-19
    0-0.5
    Sandy ClaY,wlshell
    fragments,Gray
    CL
    60.0
    00-21A
    0-0.5
    Clayey Sand,wlshell
    fragments,Gray
    ML-CL 42.1
    00-21 B
    0-0.5
    Clayey Sand,wlshell fragments,Gray
    ML-CL
    34.S
    00-22
    0-0.5
    Silty
    Sand,Gray
    SM
    29.5
    00-23A
    0-0.5
    Silty Sand,Gray
    SM
    33.7
    00-23B 0.4-1.0
    Silty Sand,Gray
    SM
    00-23C 0.4-1.0
    Silty Sand,Gray
    SM
    33.S
    00-24
    0-0.5
    ClaY,Gray
    CH
    124.6
    S # . Sample Number, P P . Pocket Penetrometer Reading, USC. Unified
    ..
    SOil Classlfcatlon, Me. MOisture Content
    q u :
    Unconfined Compressive Strength, WaH: Weight of hammer, WOP: Weight of Pipe, N P. None Plastic
    Geotest
    Engineering, Inc.
    EXHIBIT 2,
    Page
    1
    of
    Mechanical Analysis
    Torvane
    LL
    PL
    %
    Passing
    Shear
    (%)
    (%)
    Strength
    #4
    #10
    #40 #100 #200
    (tsf)
    66.0 26.0
    69.0 25.0
    65.0 26.0
    .
    66.0 26.0
    6S.0
    25.0
    61.0 25.0
    65.0 25.0
    72.0 26.0
    73.0 27.0
    5S.0
    24.0
    5S.0
    23.0
    51.0
    20.0
    39.0
    1S.0
    25.0
    1S.0
    25.0
    1S.0
    NP NP
    NP NP
    NP
    NP
    62.0 25.0
    EXHIBIT 2,
    Page_2_
    of
    4
    q u
    (tsf)
    4

    alt
    SUMMARY OF LA&-.<ATORY TEST RESULTS
    Project: Matagorada Bay, Brazos River to Port O'Conner
    Exhibit 1,
    Page
    4
    of
    4
    C
    on
    tr
    act
    No. DACW64
    -
    98
    -
    D
    -
    0002 DerOd
    Ivery r er
    No. 0041
    Boring
    S#
    Visual Classification
    USC
    Mechanical Analysis
    No.
    % Passing
    #2
    #1 112
    #1
    #112
    #3/4
    #3/8
    #4
    #8
    #10
    #16
    #20
    #30
    #40
    #50
    #70
    #100
    #140
    #200
    00-22
    1
    Silty Sand,Gray
    SM
    100
    100
    100
    100
    100
    100 99.8
    99.3 99.1 98.6 98.4
    98.2 98.0 97.8 96.5 48.9
    25.3 18.8