1. 20000428 Soil Sampling GIWW Matagorda Reroute.pdf

    alt
     
    Exhibit 1, Page 2 of 4
    Sample No.
    00-17
    Location: approx. 13,500 ft northeast of Matagorda Ship Channel
    Time: 1215
    Visual Description: Silt with clay pockets and lumps.
    Water Depth: 12.3 ft
    Weight
    of Rod: 1.5 ft
    Pipe Drop: 2.5 ft
    Pipe Push: Too deep, but thown down 5 ft
    Refusal Depth:
    Nt
    A
    PVC Push Tube Sample Depth: 0.4-0.9 ft
    Sample No.
    00-15
    Location: approx. 9,300 ft WSW of Channel to Palacios
    Time: 1233
    Visual Description: Silt, very soft
    Water Depth: 12.6
    ft
    Weight of Rod: 2.5 ft
    Pipe Drop: 3.7
    ft
    Pipe Push: Too deep, but thown down 5 ft
    Refusal Depth:
    Nt
    A
    PVC Push Tube Sample Depth:
    NtA
    Sample No. 00-13
    Location: approx. 3,300 ft WSW of Channel to Palacios
    Time: 1300
    Visual Description: very clayey, very little sand. High PI
    Water Depth: 11.4 ft
    Weight
    of Rod: 2.0 ft
    Pipe Drop: 2.9 ft
    Pipe Push: Too deep, but thown down 5 ft
    Refusal Depth:
    NtA
    PVC Push Tube Sample Depth:
    NtA
    SampleNo.00-12
    Location: approx. 200 ft west of Channel to Palacios
    Time: 1330
    Visual Description: no grit or sand. Soft clay.
    Water Depth:
    12.0
    ft
    Weight of Rod: 2.4
    ft
    Pipe Drop: 3.2 ft
    Pipe Push: Too deep, but thown down 5 ft below bottom
    Refusal Depth:
    Nt
    A
    PVC Push Tube Sample Depth: 0.4-1.0
    ft
    Sample No. 00-11
    Location: approx. 2,600 ft northeast of Channel to Palacios
    Time: 1346
    Visual Description: silty clay; CL
    Water Depth: 13.6 ft
    Weight
    of Rod: 0.9ft
    Pipe Drop: 3.8
    ft
    Pipe Push: Too deep, but thown down 5 ft below bottom
    Refusal Depth:
    Nt
    A
    PVC Push Tube Sample Depth:
    Nt
    A

    alt
    Projec...-3IWW Reroute - Matagorada Bay, Brazos River to Port O'Conner
    SUMMARY OF LABORATORY
    TEST
    RESULTS
    Contract No. DACW64-9S-D-0002 Delivery Order No. 0041
    SPT
    Dry
    Wet
    Samplel Depth
    PP
    Blows
    Visual
    USC
    Me
    Unit
    Unit
    Boring
    (It)
    (tsf)
    per
    Classification
    (%)
    Wt
    Wt
    No
    Foot
    (pel)
    (pcf)
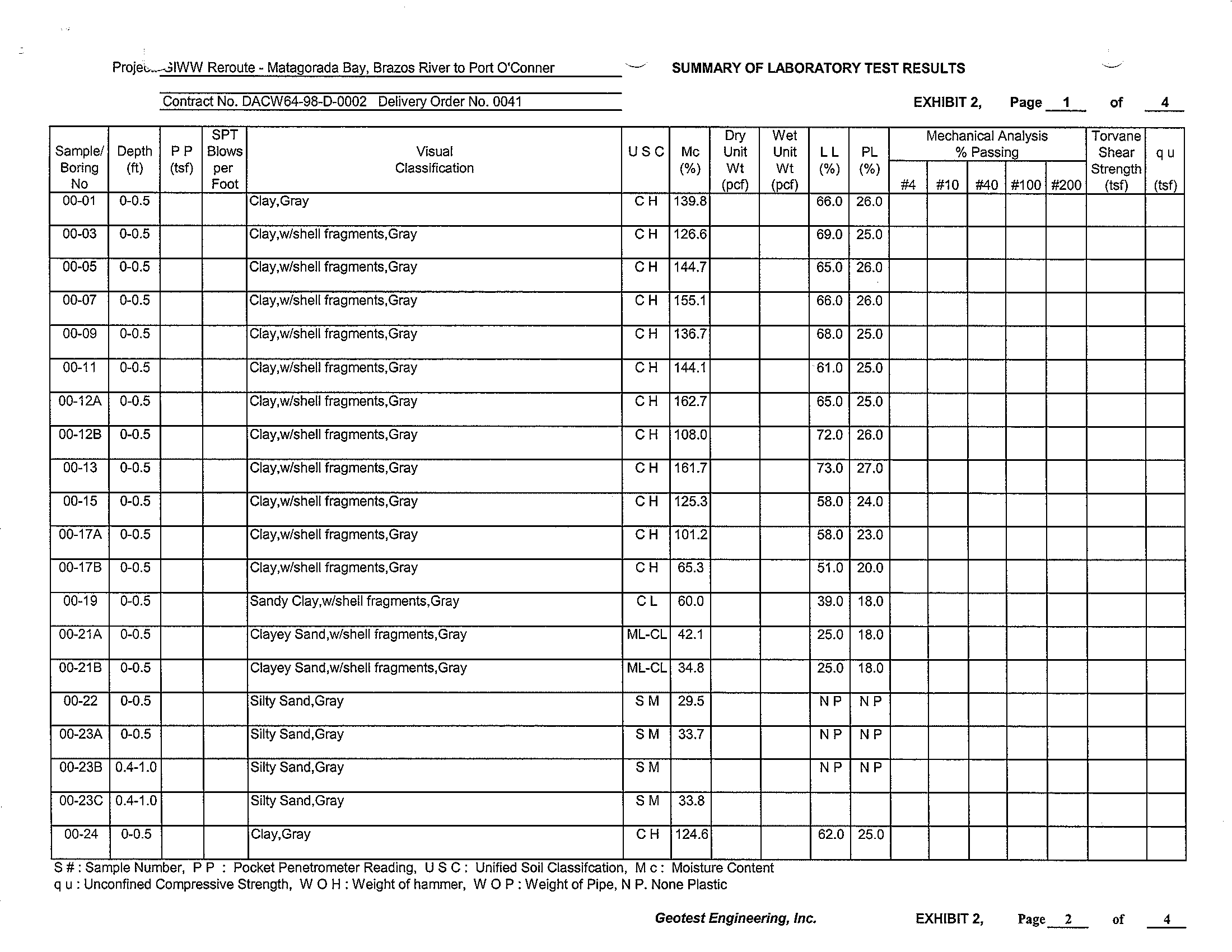
    00-01
    0-0.5
    ClaY,Gray
    CH
    139.S
    00-03
    0-0.5
    Clay,wlshell
    fragments,Gray
    CH
    126.6
    00-05
    0-0.5
    ClaY,wlshell
    fragments,Gray
    CH
    144.7
    00-07
    0-0.5
    Clay,wlshell fragments,Gray
    CH
    155.1
    00-09
    0-0.5
    ClaY,wlshell fragments,Gray
    CH
    136.7
    00-11
    0-0.5
    Clay,wlshell fragments,Gray
    CH
    144.1
    00-12A
    0-0.5
    Clay,wlshell fragments,Gray
    CH
    162.7
    00-12B
    0-0.5
    Clay,wlshell fragments,Gray
    CH
    10S.0
    00-13
    0-0.5
    ClaY,wlshell
    fragments,Gray
    CH
    161.7
    00-15
    0-0.5
    ClaY,wlshell
    fragments,Gray
    CH
    125.3
    00-17A
    0-0.5
    Clay,wlshell fragments,Gray
    CH
    101.2
    00-17B
    0-0.5
    ClaY,wlshell
    fragments,Gray
    CH
    65.3
    00-19
    0-0.5
    Sandy ClaY,wlshell
    fragments,Gray
    CL
    60.0
    00-21A
    0-0.5
    Clayey Sand,wlshell
    fragments,Gray
    ML-CL 42.1
    00-21 B
    0-0.5
    Clayey Sand,wlshell fragments,Gray
    ML-CL
    34.S
    00-22
    0-0.5
    Silty
    Sand,Gray
    SM
    29.5
    00-23A
    0-0.5
    Silty Sand,Gray
    SM
    33.7
    00-23B 0.4-1.0
    Silty Sand,Gray
    SM
    00-23C 0.4-1.0
    Silty Sand,Gray
    SM
    33.S
    00-24
    0-0.5
    ClaY,Gray
    CH
    124.6
    S # . Sample Number, P P . Pocket Penetrometer Reading, USC. Unified
    ..
    SOil Classlfcatlon, Me. MOisture Content
    q u :
    Unconfined Compressive Strength, WaH: Weight of hammer, WOP: Weight of Pipe, N P. None Plastic
    Geotest
    Engineering, Inc.
    EXHIBIT 2,
    Page
    1
    of
    Mechanical Analysis
    Torvane
    LL
    PL
    %
    Passing
    Shear
    (%)
    (%)
    Strength
    #4
    #10
    #40 #100 #200
    (tsf)
    66.0 26.0
    69.0 25.0
    65.0 26.0
    .
    66.0 26.0
    6S.0
    25.0
    61.0 25.0
    65.0 25.0
    72.0 26.0
    73.0 27.0
    5S.0
    24.0
    5S.0
    23.0
    51.0
    20.0
    39.0
    1S.0
    25.0
    1S.0
    25.0
    1S.0
    NP NP
    NP NP
    NP
    NP
    62.0 25.0
    EXHIBIT 2,
    Page_2_
    of
    4
    q u
    (tsf)
    4

    alt
    SUMMARY OF
    LAB~TORY
    TEST RESULTS
    Exhibit~
    Page
    3
    of
    4
    Project: Matagorada Bay, Brazos River to Port O'Conner
    C
    ontract
    N
    o.
    DACW64
    -
    98
    -
    D
    -
    0002 DerOd
    Ivery r er N
    o.
    00
    41
    Samplel
    S#
    Visual Classification
    USC
    Mechanical Analysis
    Boring
    %
    Passin
    a
    No.
    #2
    #1 112
    #1
    #112
    #3/4
    #3/8
    #4
    #8
    #10
    #16
    #20
    #30
    #40
    #50
    #70
    #100
    #140
    #200
    00-01
    I
    Clay,Gray
    CH
    100
    100
    100
    100
    100
    100
    100 99.5
    100
    100
    100
    100
    100
    100 99.9 99.8
    97.8 94.4
    00-03
    1
    ClaY,wlshen fragments,Gray
    CH
    100
    100
    100
    100
    100
    100
    100
    100 99.5 99.3 99.2 99.1 99.0 98.9 98.7 98.3
    95.3 91.1
    00-05
    1
    Clay,wlshen fragments,Gray
    CH
    100
    100
    100
    100
    100
    100
    100
    100
    99.5 99.3 99.2
    99.1
    98.9 98.6 98.3 97.4 95.0 93.9
    00-07
    1
    Clay,wlshen fragments,Gray
    CH
    100
    100
    100
    100
    100
    100
    100
    100
    99.9 99.9 99.8
    99.8 99.8 99.7
    99.6 99.5 98.0 96.0
    00-09
    1
    Clay,wlshen fragments,Gray
    CH
    100
    100
    100
    100
    100
    100
    100 99.8 99.7 99.6
    99.4
    99.3 99.2 99.1 98.9
    98.3 94.4 90.2
    00-11
    1
    Clay,wlshen fragments,Gray
    CH
    100
    100
    100
    100
    100
    100
    100
    100
    100
    100
    100
    100
    100 99.9 99.8 99.7
    98.6 93.6
    00-12A
    I
    ClaY,wlshen fragments,Gray
    CH
    100
    100
    100
    100
    100
    100
    100
    100
    100
    100
    100
    100
    100
    100
    99.9 99.9 99.7 99.0
    00-12B
    I
    Clay,w/shell fragments,Gray
    CH
    100
    100
    100
    100
    100
    100
    100
    100
    99.9 99.8 99.7
    99.6 99.6
    99.5 99.5 99.3 98.7 96.6
    00-13
    1
    Clay,wlshell fragments,Gray
    CH
    100
    100
    100
    100
    100
    100
    100
    100
    100
    100
    100
    100
    100