1. Block A-36Galveston Area
      1. PLAN OF BORINGS
      2. DESIGN STRENGTH PARAMETERS
      3. DESIGN SUBMERGED UNIT WEIGHT
      4. AXIAL LOAD TRANSFER DATA
      5. AXIAL LOAD TRANSFER DATA
      6. STRESS-STRAIN CURVES
      7. STRESS-STRAIN CURVES
      8. Strain in Percent
      9. STRESS-STRAIN CURVES
      10. Unconsolidated-Undrained Triaxial Compression Test
      11. Texas Offshore Port System, SPM #2 Anchor Leg #6

    alt
    I
    I
    Appendix B contains discussions of analytical procedures used in our engineering analyses. Appendix C
    contains a positioning report by Fugro Chance, Inc.,
    of Lafayette, Louisiana.
    For the purposes
    of discussion and presentation, "driven pipe pile" is used in this report to represent
    foundation piles, caissons and conductors, unless otherwise specified.
    2.2 FIELD AND LABORATORY INVESTIGATIONS
    The field investigation was performed
    on June 26 through 28, 2008, from the RN
    Seaprobe.
    The
    soil conditions were determined by performing four exploratory borings, two at each SPM location with one
    boring at a selected anchor leg location, and one boring at the proposed PLET location. Enterprise Field
    Services selected the boring locations. These borings were drilled to a penetration of 131-ft below mudline.
    The water depths
    at the boring locations ranged from 110 to 113 It. A chronological summary of field
    operations is presented
    in Appendix A.
    2.2.1
    Exploratory Borings
    FMMG personnel drilled the soil borings with a DMX drill rig positioned over the centerwell of the
    RN
    Seaprobe.
    The vessel was anchored at the boring location by a 4-point mooring system.
    Soil
    conditions
    at the site were explored by drilling a group of four soil borings to 131-ft penetration below the
    seafloor. The final coordinates
    for the boring locations are presented in Table 2-1. A plan of borings within
    BlockA-36, of the Galveston Area is presented on Plate 2-1. Fugro Chance, Inc., of Lafayette, Louisiana,
    conducted surveying utilizing STARFIX and DGPS, and performed a 360-degree scanning sonar survey.
    The positioning report, prepared by Fugro Chance, is presented in Appendix
    C. The scanning sonar reports
    are available from Fugro Chance upon request.
    FMMG
    Boring
    Designation
    SPM #1 PLET
    SPM
    #1 Anchor
    Leg #2
    SPM#2 PLET
    SPM-#TAncnor
    Leg
    #6
    Table 2-1: Final Boring Coordinates
    (Texas South Central Zone Coordinates)
    Fugro Chance
    Boring
    Proposed Boring
    Final Boring
    Designation
    Coordinates
    Coordinates
    Core 3
    X = 3,276,605.26 ft
    X = 3,276,615 ft
    Y = 265,296.65 ft
    Y = 265,270 ft
    Core 1
    X = 3,275,201.70 ft
    X = 3,275,180 ft
    Y = 264,859.70 ft
    Y
    =
    264,853 ft
    Core 4
    X = 3,283,609.94 ft
    X = 3,283,617 ft
    Y
    =
    269,139.12 ft
    Y = 269,118 ft
    Core 2
    X-=-3;284~7t3:02-ft-
    -X-=-3;-284;-7-33-ft
    Y = 270,110.77 ft
    Y = 270,117 ft
    Boring
    Termination
    Depth
    (ft)
    131
    131
    131
    131
    Samples were obtained through 5.0-in.-OD, 4.5-in.-IF drill pipe at all the locations. Samples were
    spaced
    at 3-ft intervals to 20-ft penetration, at 5-ft intervals to 68-ft penetration, and at 10-ft intervals
    thereafter to the final boring depth at all the locations, except at the SPM #2 PLET location. Sampling
    intervals at the SPM #2 PLET location was completed as follows: 3-ft intervals to 23-ft penetration, 5-ft
    intervals to 71-ft penetration, and 10-ft intervals thereafter to the final boring depth. Additionally, a 5-ft
    I
    _~
    ____
    R_ep_o_rt_N_O._O_20_1_-6_50_1____________________________
    2_~
    ____

    alt
    I
    shallow boring, designated as Core 4A by Fugro Chance, was drilled at the SPM #2 PLET location to allow
    re-sampling. The drilling and sampling techniques used to complete these borings are explained
    in detail in
    Appendix A.
    Two water depths were measured at each boring location using a seafloor sensor seated in the drill
    bit. The water depth measurements are tabulated in Table 2-2. These water depth measurements are
    intended for the purpose
    of the geotechnical investigation only, and are not corrected for tidal or other
    variations.
    If utilized for other purposes, the water depth measurement should be adjusted to account for
    meteorological tide and datum corrections. The water depth measuring procedures are explained in detail
    in Appendix A.
    \ '
    Table 2-2: Measured Water Depths
    Boring
    Water Depth
    Time and Date
    Supplemental
    Time and Date
    Designation
    (ft)
    of Measurement
    Water Depth
    of Measurement
    (ft)
    SPM#1 PLET
    112
    1630 hours on
    113
    2245 hours on
    June 27,2008
    June 27, 2008
    SPM
    #1 ANCHOR
    113
    2400 hours on
    113
    0605 hours
    on
    LEG #2
    June 26, 2008
    June 27, 2008
    SPM#2 PLET
    112
    0250 hours
    on
    112
    1030 hours
    on
    June 28, 2008
    June 28, 2008
    SPM #2 ANCHOR
    110
    1450 hours on
    111
    2105 hours on
    LEG #6
    June 28, 2008
    June 28, 2008
    2.2.2 Field and
    Laboratory Tests
    The soil testing program was designed to evaluate pertinent index and engineering properties of the
    foundation soils. During the field operation, all samples were extruded from the sampler and classified by
    the soil technician or field engineer.
    Unit weight, Torvane, pocket penetrometer, miniature vane and
    unconsolidated-undrained triaxial compression tests were performed
    in the field on selected cohesive
    samples. All
    of the samples were shipped to Fugro's Houston laboratory where Atterberg limit tests, water
    content tests, and grain-size analyses, as well as additional density tests, unconsolidated-undrained triaxial
    compression tests, and miniature vane tests, were performed.
    A description
    of relevant laboratory procedures is provided in Appendix A. The strength and
    classification test results are presented graphically
    on the Logs of Boring and Test Results in Section 3.
    Grain-Size distribution curves from sieve-analyses and stress-strain curves from triaxial compression tests
    ____--'a"re
    ___llresented in
    AflP~e~n~d~ix~A~.
    ______________________________
    2.3 GENERAL SOIL CONDITIONS
    2.3.1
    Soil Stratigraphy
    The soil stratigraphy at each of the boring locations disclosed by the field and laboratory
    investigation
    is presented in Section 3. The soil stratigraphy is based on the classification of soil samples
    I __
    ~
    ___
    R_ep_o_rt_N_O_.O_2_01_-_65_0_1______________________________2_.3_____

    alt
    l-
    I
    3.4 SPM #2 ANCHOR LEG #6 LOCATION
    3.4.1
    Introduction
    The field investigation at the location designated as SPM #2 ANCHOR LEG #6 was performed on
    June 28,2008.
    Soil sampling was performed to 131-ft penetration at Texas South Central Zone
    Coordinates X
    =
    3,284,733 ft and Y
    =
    270,117 ft. The measured water depth ranged from 110 to 111 ft.
    3.4.2
    Soil Stratigraphy
    The soil stratigraphy disclosed
    by the field and laboratory investigations is presented on the boring
    log. Plate 3-34. The soil stratigraphy is based
    on the classification of soil samples recovered from the
    boring and observations made during drilling operations. A generalized summary of the major soil strata is
    tabulated below.
    Penetration, ft
    Stratum
    From
    To
    Description
    I
    0
    5
    Very soft to soft lean clay
    II
    5
    11
    Firm lean clay
    III
    11
    28
    Loose to medium dense silt with sand to
    sandy silt
    IV
    28
    38
    Firm lean clay
    V
    38
    58
    Loose to medium dense silt
    VI
    58
    131
    Firm to very stiff clay
    Detailed soil descriptions that include textural variations and inclusions are noted
    on the boring log.
    A key
    to the terms and symbols used on the boring log is presented on Plate 2-2. The Roman numeral
    representing each stratum
    is also shown on the boring log and on relevant plates. The variation in soil
    stratigraphy across this site is indicated
    in a comparison (integration) of the geophysical and geotechnical
    soil information presented
    on Plate 3-35.
    3.4.2.1 Interpretation
    of Soil Properties
    The shear strength and submerged unit weight profiles shown
    on Plates 3-36 and 3-37,
    respectively, best represent the assembled test results
    ploUed on the boring log. These profiles were used
    in the engineering analyses.
    3.4.3
    Pile Design Information
    The pile design information developed for this study includes ultimate axial capacities, axial load-
    pile movement data, and lateral soil resistance-pile deflection (p-y) characteristics. The analytical methods
    used to develop this information are presented briefly
    in Section 2.5 and in more detail in Appendix B.
    3.4.3.1 Axial Pile Design
    Ultimate Axial Capacity. The unit skin friction and unit end bearing values
    ploUed on Plates 3-38
    and 3-39. respectively, was calculated using the API
    RP 2A methods described in Appendix B.
    These
    values were used to calculate the ultimate
    aXial compressive and tensile capacities for 42-in.-diameter pipe
    piles, driven to final penetration at the boring location. Capacity curves for driven pipe piles (conductors,
    caissons, anchor and foundation piles) are presented
    on Plate 3-40.
    I
    Report No. 0201-6501
    .
    ~@-----------
    3-10

    alt
    API RP 2A recommends that pile penetrations be selected using appropriate factors of safety or
    pile resistance factors. These factors are discussed in Section 2.5.1 of this report.
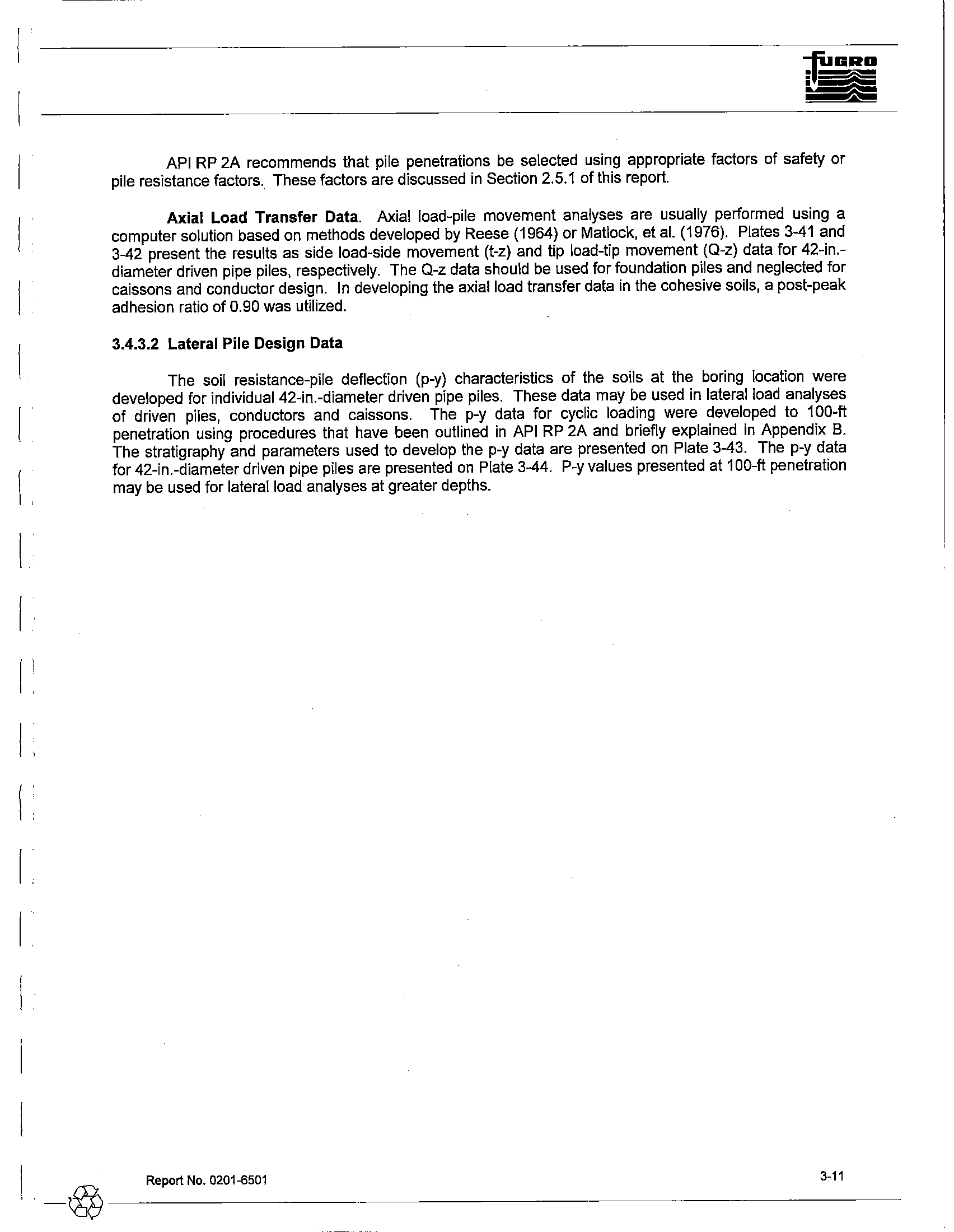
    Axial Load
    Transfer Data. Axial load-pile movement analyses are usually performed using a
    computer solution based on methods developed by Reese (1964) or Matlock, et
    al. (1976). Plates 3-41 and
    3-42 present the results
    as side load-side movement (t-z) and tip load-tip movement (Q-z) data for 42-in.-
    diameter driven pipe piles, respectively. The Q-z data should
    be used for foundation piles and neglected for
    caissons and conductor design.
    In developing the axial load transfer data in the cohesive soils, a post-peak
    adhesion ratio of 0.90 was utilized.
    3.4.3.2 Lateral Pile Design Data
    The soil resistance-pile deflection (p-y) characteristics
    of the soils at the boring location were
    developed for individual 42-in.-diameter driven pipe piles. These data may be used
    in lateral load analyses
    of driven piles, conductors and caissons.
    The p-y data for cyclic loading were developed to 100-ft
    penetration using procedures that have been outlined
    in API RP 2A and briefly explained in Appendix B.
    The stratigraphy and parameters used to develop the p-y data are presented on Plate 3-43. The p-y data
    for 42-in.-diameter driven pipe piles are presented
    on Plate 3-44. P-y values presented at 1OO-ft penetration
    may be used for lateral load analyses at greater depths.
    I
    Report No. 0201.6501
    3.11
    ,._@-----------

    alt
    ~
    (
    D
    11-
    I
    l
    1
    ~
    (~:
    ...
    x =
    3,274,000«
    ~
    Y =
    275,800
    It
    N
    ~
    ...
    X
    =
    3,279,000ft
    Block A-36
    Galveston Area
    ...
    X
    =
    3,284,000ft
    ~
    Y =
    270,800
    It
    SPM.!2,.Anchor Leg #6'"
    -
    .....
    Offshore
    Terminal
    /
    ,
    ~
    Y =
    265,800
    It
    I
    SPM #1 PLET \
    SPM
    #1 Anchclr Leg
    #21
    \
    I
    \
    1,470f!,
    "
    /
    ....
    -
    ~
    Y =
    260,800
    It
    ,.
    .....
    /
    'e
    I
    \
    ...
    I SPM #2 PLET \
    \
    1,47~1
    "
    .... _-
    "
    ...
    ~
    m
    ~
    1l
    ---~-~------I---------~~----------------------------------------------I-----------­
    Ii!
    15..
    u
    ~
    «
    ~
    Projection: Texas South Central Zone Coordinates
    __@
    Report No.
    0201-6501
    PLAN OF BORINGS
    Texas Offshore Port System, Offshore Terminal Location
    BlockA-36, Galveston Area
    PLATE
    2-1

    alt
    '"
    ,.
    ."
    Report No. 0201-6501
    ,
    ,
    ,
    ,
    ,
    j
    ,
    LINe
    82212
    »>
    '.00
    ;;::
    '00
    ,
    ,
    N
    .00
    ~
    ~
    ,.
    -<'","~UNeS22H
    ,
    ,
    ,
    ~
    <i.e.<UHE
    S22trJ
    il
    li!
    ,
    !il:
    +,
    ,
    ,
    +
    +
    -,
    +
    SPM#2 Anchor Leg #6
    ,
    ~
    ,
    , ,I,
    ::-+--+---'-------"'4------ll.....----+--..::..------t"---...c-----'----+---..::.-----
    +,L.--<;i(,dINESlP:M
    l"A;Sr
    .. SPM#2 PLET
    l
    '"
    ~~~~_~
    ____!_________
    ~~~--------JL--_t----l.....l.....---------~,,------------l--_t------!0---------4-2~~-
    ~
    _u~s~~»~sr
    +
    .. SPM#1 PLET
    ,
    ,
    ,
    J
    +
    +
    SPM#1 Anchor Leg #2 ,
    ,
    ,
    I
    1
    '"
    +
    ,
    ,
    ,
    ,
    ,
    .•
    ..
    ,
    ,
    MAP OF SOIL BORINGS AND SUBBOTTOM PROFILE LINES
    Texas Offshore Port System
    Block A-36, Galveston Area
    ,
    '"
    ,
    ,
    ....«
    LINE .'5;,,'201
    IJM~
    $Z2Qt)
    ,..»
    PLATE 2-3
    -@-------------------------------------------------------------------------------

    alt
    I
    @
    I
    AI
    ~
    "0
    0
    "
    z
    ~
    0
    ~
    '"
    in
    '"
    ~
    1if
    :=.
    Q)
    .c-
    o
    0
    'lij
    Q)
    rJ)
    s:
    0
    Qi
    ell
    "
    0
    ~
    ~
    -
    Q)
    "
    Q)
    0..
    -u
    E
    m
    ~
    t
    0
    10
    20
    30
    40
    50
    60
    70
    80
    90
    100
    110
    120
    130
    140
    150
    160
    170
    180
    190
    200
    Checked By:
    t\
    ~
    Approved By:
    &(..-
    D,te,
    't/r.(r;
    £:,
    D,te
    7;;;;;
    x
    =
    3,284,733'
    y=
    270,117'
    BLOW
    COUNT
    Texas South Central Zone Coord'mates
    SEAFLOOR AT EL.
    ~
    110'
    I~
    ~
    VERY SOFT TO SOFT
    OLIVE
    GRAY
    WOH
    ~
    LEAN CLAY
    (5.0')
    WOH
    f1
    FIRM
    OLIVE
    GRAY LEAN CLAY
    WOH
    II
    f-
    ..
    (11.0')
    PUSH
    LOOSE TO MEDIUM DENSE GRAY SILT
    WITH SAND TO SANDY SILT
    12
    ...
    9
    I-w
    Note:
    See PLATE 3-34b for de1,Hed soH
    I
    12
    stratIgraphy to 40-ft penetration.
    10
    (2B.D')
    f-
    ::3111 FIRM
    OLIVE
    GRAY LEAN CLAY
    10
    IV
    :-
    10
    (3B.D')
    /'"
    LOOSE TO MEDIUM DENSE
    OLIVE
    GRAY
    15118"
    f-
    SILT
    .with mica
    -with
    a trace of sand and an HzS odor below 43'
    12
    -with
    a few
    clay seams, 43' to 49'
    V
    -lean clay layer, with many silt pockets and seams
    f-
    ,
    at
    49'
    -with a few clay seams and pockets of organic
    ,
    matter at
    54'
    r--
    (58.0')
    FIRM TO
    VERY
    STIFF
    OLIVE
    GRAY CLAY
    ,
    f-
    -with many slit pockets, partings, and seams to 75'
    =
    -lean to 68'
    -with an
    H2S odor to 60'
    15
    15
    -
    I-
    PUSH
    l-
    -With silt pockets, 84' to 106'
    -with mica at 85'
    PUSH
    I-
    VI
    ~
    -with gas blisters, 94'to 131'
    PUSH
    -platy, 94' to 106'
    -lean and expansive, with a few light gray bands
    f-
    at 95'
    ~
    -with silt seams at 105'
    PUSH
    f-
    ~
    -blocky, 114' to 125'
    -with a few
    sm partings at 115'
    PUSH
    f-~
    ~
    PUSH
    c-:
    ~
    -pl'Iy, wilh a few 'hell f""meets "
    1~1~
    PUSH
    -
    f-
    f-
    I
    --
    f-
    f-
    f-
    SAMPLING TECHNIQUES
    Number of blows of a 175-lb weight (hammer) dropped approximately 5 ft to produce a
    maximum of24 in. of penetration of a 2.25-ln.-OD, 2.125-in.-ID !hin-walled tube
    sampler. "PUSH" denotes a 3.00-in.-OO,
    2.~-in.-ID
    thin-walled tube sampler was
    adVanced 24 in. with the weight of lila drill string. 'WOH" denotes a 2.50-in.-oD,
    2
    125-in.-ID liner sampler was advanced 24 in. with lIle wei9ht oflhe hammer.
    IDENTIFICATION TESTS, [%]
    20
    40
    60
    BD
    SUBMERGED UNIT WEIGHT, [kef]
    0,03
    0.04
    0,05
    0.06
    +
    -----
    ~
    'El
    J
    +
    --_e
    0
    0
    0
    III
    ~
    111
    0
    0
    +
    ---.--
    f+
    DO
    0
    0
    ••
    n
    0
    n
    +--.-~
    +
    0
    ..
    pm
    ,
    ----
    /t.----
    -,0
    .
    ~
    lID
    +
    ---
    _+D
    ~
    0
    tt---- -
    1'eD--
    ----
    fT
    -
    0
    -
    -
    CLASSIFICATION TESTS
    'f' SOLUBILITY IN HCL,
    [%]
    PERCENT PASSING -200 SIEVE,
    [%]
    WATER CONTENT fYV), [%]
    0
    SUBMERGED UNIT WEIGHT (SUW)
    PLASTIC LIMIT (PL)
    LIQUID LIMIT (LL)
    +----------------------+
    LOG OF BORING AND TEST RESULTS
    D",wn By,
    lltJ
    Date:
    9ft?
    /LJ5
    UNDRAINED SHEAR STRENGTH
    [ks~
    0.5
    1.0
    1.5
    2.0
    ~.
    o
    ~
    10
    20
    30
    <>
    i*'
    40
    I"
    ..
    <1>
    50
    <1>.
    60
    <)
    A
    $
    A
    A<l)~
    70
    A
    80
    A
    $ .-
    A
    E
    90
    A
    ~,
    100
    !I$
    110
    ~
    f>.
    ~
    ®
    120
    ~
    f----r-'""-
    -
    r--
    130
    140
    150
    160
    170
    180
    190
    STRENGTH TESTS
    200
    ®
    POCKET PENETROMETER (PPJ
    $
    TORVANE
    (TV)
    ¢>
    REMOTE VANE (RV)
    MINIATURE VANE (MV) (-& RESIDUAL (MVres) VALUE)
    ... UNCONSOLIDATED UNDRAINED TRIAXIAL (UU)
    (Open symbols Indicate remolded (r) lests)
    Texas Offshore Port System, SPM #2 Anchor Leg #6
    Block A-36, Galveston Area
    ---

    alt
    I
    @
    ;u
    ~
    "C
    0
    "-
    z
    ~
    0
    N
    ~
    In
    '"
    ~
    ~
    ~
    0
    5
    10
    'iif
    ~
    ..:
    0
    15
    0
    0=
    ro
    Cll
    (f)
    ~
    20
    [I]
    c
    0
    -
    ~
    25
    c
    Cll
    a.
    Cll
    30
    35
    40
    ---CheckecLa~.!:>
    __
    Dat.e.:....-i:U_'Zo('~~
    I"'\pproVE". -'1. --;'...... '
    /
    ,
    Oat....-
    .....1&
    &I
    X'" 3,284,733'
    IDENTIFICATION TESTS,
    [%]
    Y=270,117'
    BLOW
    20
    40
    60
    80
    COUNT
    Texas
    South Central Zone Coordinates
    SUBMERGED UNIT WEIGHT, (kef]
    SEAFLOOR AT EL. -110'
    0.03
    0.04
    0.05
    0.06
    J
    VERY SOFT TO SOFT OLIVE GRAY LEAN
    WOH
    IQ
    C
    CLAY
    +
    ----~
    I
    -With many sand pockets
    -
    0:
    1
    -with shell fragments and a few wood fragments
    to 2'
    ~
    WOH
    -with a few shell fragments below 3'
    .
    ]
    FIRM OLIVE GRAY LEAN CLAY
    -with many silt pockets
    WOH
    0
    -with a few slit seams at
    6'
    +
    r--_e
    0
    "
    -with shell fragments and a few sand seams
    f--
    below 10'
    PUSH
    -
    ...
    (11.0')
    LOOSE
    TO MEDIUM DENSE GRAY SILT
    ...
    WITH SAND TO SANDY SILT
    ...
    -with a few clay pockets and shell fragments to 20'
    12
    r-- ....
    0
    s
    ...
    III
    ...
    -with mica and a few sandstones at 1B'
    12
    r!"
    III
    I
    ,_
    -with
    many clay pockets
    al23'
    10
    0
    f--
    r---
    FIRM OLIVE GRAY LEAN CLAY
    (28.0')
    10
    0
    f--
    ~
    - ..
    IV
    -with a few partings of organic matter at 33'
    10
    +---.-
    f+
    DO
    f--
    I-
    (38.0')
    V
    ~
    LOOSE TO MEDIUM DENSE OLIVE
    15118"
    GRAY SILT
    0
    SAMPLING TECHNIQUES
    CLASSIFICATION TESTS
    Number of blows of a 175-1b weight (hammer) dropped approximately 5 ft
    to
    produce a
    "1'-
    SOLUBILITY IN HeL.
    [%]
    maximum of24in. ofpenetration ofa 2.25-il.-OD, 2.125-in.-ID th'n-walledllJba
    PERCENT PASSING -200 SIEVE,
    [%]
    sampler. "PUSH" denotes a 3.00-in.-OD. 2.83-in.-ID thin..walled tube samplerwas
    WATER CONTENT
    fY'I), !%]
    adVanced 24 In. with the weight
    of
    the dnll string. 'WOH" denotes a 2.50-In.-OD,
    o
    SUBMERGED UNIT WEIGHT (SUW')
    2.125-in.-ID liner samp1erwas advanced 24 in. with the weight of the hammer.
    PLASTIC LIMIT (PL)
    LIQUID LIMIT (lL)
    +----------------------+
    LOG OF BORING AND TESTRESULTS
    Texas Offshore Port System; SPM #2 Anchor Leg #6
    Block A-36, Galveston Area
    J1r:awtll::ly:
    "-'-'U-
    "1"4
    '}J'
    .J...JJ~
    UNDRAINED SHEAR STRENGTH
    Iksn
    0.2
    0.'
    0.6
    0.•
    o
    ~
    ..
    5
    ~
    ~
    ~
    (1.26
    10.0)~
    10
    "'"
    Cll
    ~
    15
    ..:
    0
    0
    m
    (f)
    20
    ~
    Cll
    [I]
    c
    .Q
    -
    25
    ~
    c
    a.
    Cll
    ,33.5) ...
    J
    (1.0
    30
    <>
    $
    35
    I
    .
    STRENGTH TESTS
    40
    ®
    POCKET PENETROMETER (PP)
    TORVANE(TV)
    I
    o
    REMOTE VANE (RV)
    MINIATURE VANE (MV)
    (<$-
    RESIDUAl (MVres) VALUE)
    i
    ... UNCONSOLIDATED UNDRAINED TRIAXIAL (UU)
    ,
    (Open symbols Indicate remolded
    (Tl
    tests)

    alt
    ~.
    ~
    ~
    I
    ~
    w
    i
    <:::.
    ,
    0
    I
    ~
    --
    "
    Report No. 0201-6501
    w
    e\.M$iFlCAVONTESrs
    &OU15ILITY IIHiI1.I"'j
    rER~t:?Al.1SiNG-lMSiEVEr.r.J
    ti
    ~S~:;;'~~i(5'.\\,l
    +----------------------+
    f'USm; Lf!.llT l!'tl
    OQiJlO l!Mil'!U-J
    125 METERS
    410 FT
    STREN(lIHTESTS
    II POC!!ET
    Pi;NH~TE!!
    (!>T'j
    +
    iCiWMlE (1Yj
    4>
    R£Mmf 'o'M-"E{RW
    Ml!ilA.l\1R~",,IM;(lAVj
    j-e-
    AE$lO\!AL(~lllAl.I.'5\
    .Ii. UNCCW$OlJDAT=c LmOAAItf!:':[t -rw.uIJ.L
    \1EUj
    -.
    ~
    _.
    -
    -.
    -
    lHlIWlED 5f£AR STRENIml
    ..
    -
    I~=~:~I
    DO
    ~M
    ......hDo!OQIn ..H,a.boINu
    a
    ....,._dot'_4J'b"
    ......
    -,.
    Wy
    fto..,
    ,IIIIl~
    ....
    IIId~oIOIJIItIo
    ..f"'IHn_
    a
    "fIIIn.f..jI:dotI,pdwo,lIIIi.....hll'
    ....
    ..... O'lH,! ..bllT
    ~
    ~"""'M'bll:e'
    ..........185'
    '''''III!101n.84'bll!'
    ?iJ:a4'bHlll'
    ~
    ...
    ,.
    .,r.....
    ,'dl1.iIwltt1lP1bni1
    ....., ..-..,!1f
    -
    &i)',l1nll5'
    ....,.""..
    pri-gI.I'~
    ~
    a
    "
    -
    GEOPHYSICAL AND GEOTECHNICAL INTEGRATION
    Texas Offshore Port System, SPM
    #2 Anchor Leg
    #6
    Block A36, Galveston Area
    E
    Line 2207
    PLATE 3-35
    -@----------------------------------------------------------------------

    alt
    (
    Il
    (
    ~~
    -!~
    ~
    a;
    ...
    CD
    ..
    "
    ..
    "
    .~
    '"
    ~
    '"
    >.
    '"
    ~
    ~
    II
    ~
    u
    ~
    ~
    ~
    0
    «
    1if
    ~
    ..:
    0
    0
    <;::::
    !l!
    Q)
    en
    :=
    0
    Q)
    ra
    c
    0
    :;:::;
    ...
    !l!
    ....
    Q)
    c
    Q)
    0..
    Shear Strength Profile, [ksf]
    o
    0.0
    I
    0.5
    1.0
    1.5
    2.0
    2.5
    20
    40
    60
    80
    100
    120
    140
    I
    --
    --_.-
    r----- ---
    r----.-
    r-
    --
    ---'-
    r----
    o-
    ---
    "
    ~=7n°
    ,-
    h~'
    N.
    ~Rn
    f.
    ~
    1 n kof
    no
    - In kof
    III
    '----0-
    ""-I
    --_.-
    r----
    o-
    ---
    IV
    ,..--'- __0-
    ,...--
    ---.-
    r-----
    ---
    $
    =
    20',
    B
    =
    5", N
    q
    ;;;
    B.O, f
    max
    =100
    ksf, qmax
    =
    o
    ksf
    V
    ___0-
    ,...---
    1-,-0--.-
    r-----
    ---
    VI
    I
    Note: Roman numerals refer to the stratigraphy as
    described in the text and on the boring log.
    I
    ,...-----
    ------------
    --~--
    -----
    DESIGN STRENGTH PARAMETERS
    Texas Offshore Port System, SPM #2 Anchor Leg #6
    Block A-36, Galveston Area
    [
    _~_R_e_po_rt_N_O_.O_20_1_-6_50_1
    ______________________________________________________
    P_~_T_E_3-_36
    ____

    alt
    I
    I~
    I~
    o
    II
    [.15:
    ~
    "
    >.
    [
    i
    i
    5
    ~
    Submerged Unit Weight, [kcf]
    o
    0.00
    0.02
    0.04
    0.06
    0.08
    _I ._
    0.10
    1if
    ~
    ..:
    o
    20
    40
    ..
    ...
    ;;::::
    en
    Q)
    ro
    60
    ~
    Q)
    10
    .
    a
    80
    ~
    a;
    c
    Q)
    0...
    100
    120
    140
    I
    r---.-
    ;----
    -_.-.
    _.-
    ---
    __. I
    II
    )---_.-
    f----
    -.~
    --_
    ..
    .
    '"
    1-----_.-
    ----
    --
    _.-
    ---
    IV
    I----
    --
    -
    .-
    _I
    Nole:
    -Roman
    numerals refer to the stratigraphy as
    I
    described in the text and on the boring log.
    V
    I----
    .-
    -
    .-
    VI
    \
    ------
    ---------1
    --_\_-
    ------ -----
    .
    DESIGN SUBMERGED UNIT WEIGHT
    Texas Offshore Port System, SPM #2 Anchor Leg #6
    Block A-36, Galveston Area
    [ __
    ~_R_e_po_rt_N_O._02_0_1-_65_0_1
    ___________________________________________________
    P~
    __
    TE_3_-3_7___

    alt
    I
    I
    I~
    (~
    0
    ~
    I~
    (
    ~
    c
    0
    ~
    I
    :;::;'
    Cll
    ~
    ....:-
    0
    0
    'iii
    Cll
    (J)
    ;;:
    0
    "iii
    al
    c
    (
    0
    ~
    -
    ....
    Cll
    (
    c
    Cll
    0..
    (~~
    .~~
    ~
    "'I
    [
    I
    ;;
    ;;
    0
    0
    .~ ~
    ;.;
    ;.;
    '"
    '"
    u
    :l!
    >
    0
    [
    u
    ~
    «
    ~
    Unit Skin Friction, [ksf]
    00
    05
    o
    \
    ---
    1 0
    1 5
    20
    25
    20
    40
    60
    80
    ..
    100
    120
    140
    1----
    -----
    f-----
    I
    \
    1--._.-- ---'-
    \
    --
    1----
    -----
    ~_\
    --_.-
    ------'-
    \--
    ---'-
    -,-
    --
    f-
    .-
    ,---
    --
    ~
    .-
    f-
    --
    ~
    Notes:
    \
    1. Roman numerals-refer to the stratigraphy as
    \
    described in the text and on the boring log.
    2,
    Tension and compression curves coincide.
    ------------------
    -_\_--
    UNIT SKIN FRICTION
    API RP 2A (2000) Method
    I
    ---
    II
    ---
    ...
    -----
    IV
    V
    VI
    ------
    Texas Offshore Port System, SPM #2 Anchor Leg #6
    Block A-36, Galveston Area
    (
    Report No. 0201-6501
    PLATE 3-38
    -~--------------------------------

    alt
    "'"
    Q)
    .l!!
    ~
    ..:
    0
    0
    <;::
    (\)
    en
    Q)
    ~
    Q)
    m
    c
    0
    ""
    -
    ~
    Q)
    c
    a.
    Q)
    .<>:)
    .~"t
    ~~
    fjr"
    ~
    M
    Cl
    Cl
    .~
    ~
    m
    '"
    m
    '"
    ~
    ~
    e
    >
    u
    ~
    ~
    ~
    ()
    '"
    Unit End Bearing, [ksf]
    o
    o
    I
    10
    20
    30
    40
    50
    20
    40
    60
    80
    100
    120
    140
    I
    ------------e-----
    --.----.
    -\--.; ----
    II
    ---
    --_.-
    i-----
    ---
    ,'"
    '\
    ,,'
    ",
    :-,.
    !42-i}
    --
    ---.-'------
    -----
    IV
    I--
    \
    .-
    -
    --
    --
    "-~
    ~
    "-
    V
    I--
    -
    -
    --
    Note's:
    1. Roman numerals refer to the stratigraphy as
    descnbed in the text and on the boring log.
    2. Dash,ed Hne represents equivalent unit end
    bearing av_ailable from frictional resistance
    of soil plug inside the indicated pile Size.
    3. End bearing component. is neglected for
    caissons and conductors.
    VI
    -------
    __ 1 __
    ------
    ------
    -----.
    UNIT END BEARING
    API RP
    2A (2000) Method
    Texas Offshore Port System, SPM #2 Anchor Leg #6
    Block A-36 , Galveston Area
    PLATE 3-39
    I
    Report No_ 0201-6501
    -@--------------------------------

    alt
    Il
    1
    I.
    jl~
    o
    ~
    ~~
    ;;
    ~
    "
    "
    ~
    )
    ;;
    \
    >.
    "'
    "'
    ~
    ~
    ~
    ~
    0
    ~
    ~
    ~
    ()
    «
    I
    ~
    Q)
    ~
    ....
    0
    -
    0
    Ii=
    co
    Q)
    (J)
    s:
    0
    Q)
    m
    c
    0
    15
    a;
    ....
    c
    Q)
    0-
    Ultimate Axial Capacity, [kips]
    o
    o
    400
    800
    1200
    1600
    2000
    20
    40
    60
    80
    100
    120
    140
    ~-
    .. -.-
    ~--.-
    \
    \
    \
    \
    \
    IT.
    -.-.-
    \
    f--
    - ..
    -
    \.
    '\
    \
    \.
    \
    i-'---i-
    \
    ,
    \
    .
    ---~...,...-
    .
    I
    ~---
    --_.---_.-
    ---
    II
    ;-----
    ----
    --_.-
    ---
    '"
    .
    ----
    --_.-
    --_.-
    ---
    IV
    ----
    --_.-
    --_.-
    ---
    V
    ~.---
    --_.-
    f---.-
    ---
    Note: Roman numerals refer to the stratigraphy as
    described in the text and on the boring log.
    --
    Compression for piles
    --
    Tension for plies, or tension and compression
    for caissons and conductors
    "\
    '\
    ,
    ~
    VI
    ,
    ,,~
    "
    ~
    "'
    ------
    ~-----
    ,,~-
    ------
    ULTIMATE AXIAL CAPACITY
    API RP 2A (2000) Method
    42cin.-Diameter Driven Pipe Piles
    Texas Offshore Port System, SPM #2 Anchor Leg #6
    Block A-36, Galveston Area
    I __
    ~
    __
    Re_p_ort_N_O_.O_20_1_-6_50_1___________________________________________________
    P_~_T_E_3~_O
    ___

    alt
    .!i
    0
    m
    "
    c
    0
    ~
    ~
    ~
    0
    .!i
    m
    "
    I,~
    (
    ~
    0
    .I
    ~
    >.
    m
    ~
    PENETRATION
    BELOW
    CURVE POINTS
    MUDLINE
    (feel)
    1
    2
    3
    4
    5
    0.0
    I
    0.00
    0.00
    0.00
    0.00
    0.00
    z
    0.00
    0.07
    0.13
    . 0.24
    0.34
    1.0
    I
    0.00
    0.02
    0.03
    0.04
    0.05
    z
    0.00
    0.07
    0.13
    0.24
    0.34
    3.0
    I
    0.00
    0.02
    0.04
    0.06
    0.Q7
    z
    0.00
    0.Q7
    0.13
    0.24
    0.34
    5.0
    I
    0.00
    0.03
    0.05
    0.07
    0.09
    z
    0.00
    0.07
    0.13
    0.24
    0.34
    5.0
    I
    0.00
    0.07
    0.11
    0.17
    0.20
    .
    z
    0.00
    0.Q7
    0.13
    0.24
    0.34
    11.0
    t
    0.00
    0.09
    0.15
    0.22
    0.27
    z
    0.00
    0.07
    0.13
    0.24
    0.34
    11.0
    I
    0.00
    0.12
    0.12
    z
    0.00
    0.10
    42.00
    28.0
    ~.
    0.00
    0.34
    0.34
    z
    0.00
    0.10
    42.00
    28.0
    I
    0.00
    0.17
    0.28
    0.42
    0.51
    z
    0.00
    0.07
    0.13
    0.24
    0.34
    38.0
    I
    0.00
    0.21
    0.35
    0.52
    0.63
    z
    0.00
    0.07
    0.13
    0.24
    0.34
    38.0
    I
    0.00
    0.46
    0.46
    z
    0.00
    0.10
    42.00
    .
    58.0
    I
    0.00
    0.71
    0.71
    z
    0.00
    0.10
    42.00
    58.0
    I
    0.00
    0.29
    0.48
    0.72
    0.86
    z
    0.00
    0.07
    0.13
    0.24
    0.34
    .. 115.0
    I
    0.00
    0.48
    0.80
    1.20
    1.44
    z
    0.00
    0.07
    0.13
    0.24
    0.34
    131.0
    I
    0.00
    0.53
    0.89
    1.33
    1.60
    z
    0.00
    0.07
    0:13
    0.24
    0.34
    Notes: 1. "t" is mobilized soil.pile adhesion, [ksf].
    2. "z" is axial pile displacement, [in.].
    3. Data for tension and compression coincide.
    AXIAL LOAD TRANSFER DATA
    (T-Z DATA)
    API RP
    2A (2000) Method
    42-in.-Diameter Driven Pipe Piles
    6
    0.00
    0.42
    0.06
    0.42
    0.07
    0.42
    0.09
    0.42
    0.22
    0.42
    0.30
    0.42
    0.56
    0.42
    0.70
    0.42
    0.95
    0.42
    1.60
    0.42
    1.77
    0.42
    Texas Offshore Port System, SPM #2 Anchor Leg #6
    Block A-36, Galveston Area
    7
    8
    0.00
    0.00
    0.84
    42.00
    0.05
    0.05
    0.84
    42.00
    0.Q7
    0.07
    0.84
    42.00
    0.09
    0.09
    0.84
    42.00
    0.20
    0.20
    0.84
    42.00
    0.27
    0.27
    0.84
    42,00
    0.51
    0.51
    0.84
    42.00
    0.63
    0.63
    0.84
    42.00
    0.86
    0.86
    0.84
    42.00
    1.44
    1.44
    0.84
    42.00
    1.60
    1.60
    0.84
    42.00
    .
    I
    Report No.
    0201-6501
    PLATE 3-41
    -~---------------------------------

    alt
    0
    ~
    >.
    '"
    ~
    I~
    I
    0
    I
    "-t>
    "
    0
    "
    ~
    '"
    0
    "
    ~
    >.
    >.
    '"
    '"
    ~
    PENETRATION
    BELOW
    CURVE POINTS
    MUDLINE
    (feet)
    1
    2
    3
    4
    5
    6
    58.0
    Q
    0
    24
    48
    71
    86
    95
    z
    0.00
    0.08
    0.55
    1.76
    3.07
    4.20
    131.0
    Q
    0
    39
    78
    117
    140
    156
    z
    0.00
    0.08
    0.55
    1.76
    3.07
    4.20
    Notes: 1.
    "Q"
    is mobilized end bearing capacity, [kips].
    2.
    liZ"
    is axial tip displacement [in.].
    AXIAL LOAD TRANSFER DATA
    (Q-Z DATA)
    API RP 2A (2000) Method
    42-in.-Diameter Driven Pipe Piles
    Texas Offshore Port System, SPM #2 Anchor Leg #6
    Block A-36, Galveston Area
    7
    95
    42.00
    156
    42.00
    I
    Report No. 0201-6501
    PLATE 3-42
    -~---------------------------------

    alt
    ~
    ~
    --
    ii
    c
    ~
    c
    ~
    .iii
    c
    l!i
    c
    seafloor~
    r
    Penetration
    0
    Very soft to soft lean clay
    eso = 2.0 %
    5'
    Firm lean clay
    eso = 2.0 %
    t
    11'
    Loose to medium dense
    k=10pci
    silt with sand to sandy silt
    t
    28'
    "mr'"
    Eso = 2.0 %
    38'
    Loose to medium dense silt
    k=10pci
    58' ---------
    Report No.
    0201-6501
    Firm to very stiff clay
    ESO
    =
    1.75
    % at
    58'
    decreasing linearly to
    e50
    = 1.0 % at 100'
    100' -
    -
    -
    -
    -
    -
    -
    -
    -
    Notes:
    1.
    1::50
    is axial strain at half of peak deviator stress for cohesive soils.
    2. Soil strength parameters are shown on Plate 3-36.
    3. Submerged unit weight profile is shown on Plate 3-37.
    4. k is the modulus of horizontal subgrade reaction for granular soils.
    STRATIGRAPHY AND PARAMETERS FOR P-Y DATA
    Texas Offshore Port System, SPM #2 Leg Anchor #6
    Block A-36, Galveston Area
    PLATE 3-43
    I_@______________________

    alt
    0;
    "
    0
    ~
    ~
    I~
    I
    0
    0
    2
    if
    I
    >.
    "'
    ~
    "
    'k
    ~
    ,.
    0;
    0
    .J
    ~
    >.
    "'
    ~
    PENETRATION
    BELOW
    MUDLINE
    (feet)
    1
    0.0
    P
    0
    y
    0.00
    3.0
    P
    0
    Y
    0.00
    5.0
    P
    0
    Y
    0.00
    5.0
    P
    0
    Y
    0.00
    8.0
    P
    0
    Y
    0.00
    11.0
    P
    0
    Y
    0.00
    11;0 .
    p
    0
    Y
    0.00
    15.0
    P
    0
    Y
    0.00
    23.0
    P
    0
    Y
    0.00
    28.0
    P
    0
    Y
    0.00
    28.0
    P
    0
    Y
    0.00
    29.0
    P
    0
    Y
    0.00
    38.0
    P
    0
    Y
    0.00
    38.0
    P
    0
    Y
    0.00
    58.0
    P
    0
    Y
    0.00
    58.0
    P
    0
    Y
    0.00
    100.0
    P
    0
    (and below)
    y
    0.00
    Notes: 1. lip" is soil resistance, [Iblin.].
    2.
    "'I'
    is lateral deflection, [in.].
    CURVE POINTS
    2
    3
    4
    5
    20
    30
    45
    66
    0.06
    0.21
    0.63
    2.10
    29
    44
    65
    96
    0.06
    0.21
    0.63
    2.10
    35
    53
    79
    116
    0.06
    0.21
    0.63
    2.10
    100
    153
    226
    333
    0.06
    0.21
    0.63
    2.10
    122
    187
    276
    406
    0.06
    0.21
    0.63
    2.10
    145
    222
    328
    482
    0.06
    0.21
    0.63
    2.10
    174
    291
    384
    482
    0.14
    0.24
    0.35
    0.52
    303
    505
    667
    839
    0.17
    0.31
    0.45
    0.67
    659
    1099
    1450
    1824
    0.25
    0.44
    0.63
    0.95
    948
    1580
    2085
    2622
    0.29
    0.52
    0.75
    1.12
    314
    482
    712
    1048
    0.06
    0.21
    0.63
    2,10
    319
    489
    723
    1063
    0.06
    0.21
    0.63
    2.10
    354
    543
    803
    1181
    0.06
    0.21
    0.63
    2.10
    1459
    2431
    3209
    4036
    0.33
    0.59
    0.85
    1.27
    2244
    3741
    4938
    6210
    0.33
    0.59
    0.85
    1.28
    433
    664
    982
    1444
    0.05
    0.18
    0.55
    1.84
    592
    907
    1341
    1973
    0.03
    0.10
    0.31
    1.05
    P-Y DATA
    (CYCLIC LOADING)
    API RP
    2A (2000) Method
    42-in.-Diameter Driven Pipe Piles
    6
    94
    6.30
    138
    6.30
    167
    6.30
    479
    6.3.0
    585
    6.30
    694
    6.30
    552
    0.81
    960
    1.03
    2087
    1.46
    3002
    1.72
    1509
    6.30
    1531
    6.30
    1701
    6.30
    4620
    1.95
    7107
    1.97
    2679
    5.51
    2841
    3.15
    Texas Offshore Port System, SPM #2 Anchor Leg #6
    Block A-36, Galveston Area
    7
    8
    0
    0
    31.50
    42.00
    32
    32
    3UO
    42.00
    65
    65
    31.50
    42.00
    92
    92
    31.50
    42.00
    179
    179
    31,50
    42.00
    291
    291
    31.50
    42.00
    575
    581
    1.17
    42.00
    1001
    1011
    lA9
    42.00
    2175
    2197
    2.11
    42.00
    3128
    3160
    2.49
    42.00
    1504
    1504
    31.50
    42.00
    1531
    42.00
    1701
    42.00
    4814
    4863
    2.82
    42.00
    7407
    7481
    2.84
    42.00
    2079
    42.00
    2841
    42.00
    I ___
    ~_R_e_po_rt_N_O_._02_0_1_-6_5_01
    ______________________________________________________________
    P_LA_T_E_3_4_4___

    alt
    I
    @
    I
    il'
    "C
    a
    "
    Z
    P
    o
    '"
    ~
    .;,
    ~
    '"
    ."
    :;-
    ~
    '"
    Checked
    By:
    -.l
    13
    Date
    :
    'i'/e
    l
    oe.
    Drawn
    8y:-r;,flt~1
    Date:
    1
    0
    /
    c~
    "
    A'~
    /'~f-
    "-
    I
    J
    o
    b
    No.:
    0201-65014
    02-Sep.2008
    (Ver.
    #6)
    Summary of Test Results
    Bo
    r
    ing: Texas Offshore Port System, SPM #2 Anchor Leg
    #6
    Bl
    ock: A.36
    Area: Galveston
    Identificat
    i
    on Tests
    S
    trength Esti
    m
    ate
    Miniature
    V
    ane Tests
    Compression Tests
    Passing
    (ksf)
    (ksf)
    Uquid
    Plasllc
    MoistvAI
    Submerged
    No
    .
    ZOO
    Mo!sture
    Confining
    Undisturbed
    Remolded
    &~
    SubmeJ11ed
    F
    a
    ill"".
    Sample
    Depth
    Uquidity
    Umit
    Umit
    Cont.nt
    Unit Weight
    Sie""
    Type
    Content
    PressuAI
    Stre
    n
    gth
    St...nglh
    Str.lln
    Unit Weight
    Str
    a
    In
    Type
    01
    N
    ••
    I'J
    Index
    I%)
    I%)
    [%J
    Io<f)
    [%J
    Penetrometer
    T
    orvane
    Undisturbed
    Remolded
    Ruidual
    Tu,
    [%J
    (psi)
    Iw)
    Iw)
    [%J
    ""l
    [%
    J
    Failu
    re
    1
    0
    ,
    50
    46
    2
    1
    .
    00
    46
    3
    1
    .
    50
    49
    0.
    1
    4
    4
    2.00
    1.09
    40
    15
    42
    4
    2
    .
    00
    41
    0.05
    4
    2
    .
    00
    44
    0.12
    0.05
    3
    ,
    00
    49
    6
    3
    .
    50
    48
    0.27
    7
    5
    ,
    00
    0
    .
    06
    7
    5
    .
    00
    1.06
    38
    14
    39
    7
    5
    .
    00
    46
    0.32
    6
    ,
    50
    45
    0.61
    9
    7
    .
    30
    35
    54
    0.41
    0
    .
    1
    3
    J
    9
    7
    .
    30
    .93
    35
    16
    34
    I
    10
    10
    ,
    00
    0.17
    I
    10
    10
    .
    00
    1.00
    1.00
    1.26
    UU
    35
    121
    0
    .
    61
    2.1
    51
    16
    A
    J
    11
    10
    .
    50
    12
    1
    1
    .
    00
    .65
    47
    15
    36
    ,
    13
    14
    .
    00
    26
    62
    52
    14
    17.00
    28
    55
    69
    1
    .
    19.50
    27
    58
    74
    16
    24.00
    55
    N
    O
    T
    ES
    :
    TYPE OF
    TE
    S
    T
    TYPE OF FA
    IL
    UR
    E
    P
    l
    us Signs [+] denote tests
    which
    exceeded the
    U
    - Unco
    n
    fined Compression
    A
    .
    Bulge
    capacity of the measur
    i
    ng device.
    UU- Unconsolidated-Undrained
    T
    riaxial
    B
    - Single Shear Plane
    C
    U
    - Conso
    l
    idate
    d
    -
    U
    ndrained
    T
    riaxial
    C
    - Multiple Shear Plane
    NP = Non Plastic Material
    0- Vertical
    F
    racture

    alt
    I
    @
    1
    6'
    "8
    "-
    z
    ?
    Z
    a,
    ~
    ~
    .,
    "
    ~
    0>
    '"
    Checked By:
    vt~
    Approved By:-o»t.
    Summary of Test Results
    Date7/2/<>J!,
    Date:
    90;';;'
    -
    Drawn By:
    '
    rr:~"~
    1
    Date:
    qI2/0",(
    Jo
    b
    No.:
    0201-6501-4
    02-Sep-2008
    (Ver
    .
    #6)
    Boring: Texas Offshore Port System
    ,
    SPM #2
    Anchor
    L
    eg
    #6
    Block: A-36
    A
    rea: Galveston
    Identification
    T
    ests
    Strength Estimate
    Miniature
    Vane Tests
    Compression Tests
    Passing
    (ksf)
    (ksf)
    Uquid
    Plutlc
    Moisture
    Subm.rg~d
    No. 2.00
    Moisture
    Confining
    UndLsturt>ed
    Remolded
    E.
    SlIlImuged
    F.lIilure
    Sample
    Oepth
    Uquldity
    Limit
    Urnl!
    Content
    UnitWeillht
    Sieve
    Type
    Content
    Pressur1l
    Strength
    Stnmlilth
    Strain
    Unit Welllht
    SUain
    Type of
    No.
    ("
    Index
    (%'
    (%
    '
    ("
    ,,,0
    (
    %
    J
    Penetrometer
    Torv
    enl
    Undisturbed
    Remolded
    Resldull
    Ttst
    {'!oj
    (psi)
    '''0
    '''0
    ,%,
    (pet]
    )%'
    Faliu
    re
    17
    24.50
    31
    84
    117
    28
    .
    50
    1.00
    18
    29
    .00
    57
    1.
    29.50
    28
    0.47
    1.
    29.50
    1
    .
    00
    29
    18
    29
    20
    33.50
    35
    53
    0
    .
    50
    UU
    32
    120
    1.03
    5
    .6
    56
    20
    AB
    21
    34.00
    .
    61
    43
    17
    33
    0.71
    21
    34
    .
    00
    0.17
    22
    39
    .
    00
    28
    55
    48
    23
    44
    .5
    0
    31
    56
    89
    24
    49
    .00
    93
    25
    49,50
    0.10
    25
    49
    .5
    0
    57
    1
    .
    12
    UU
    29
    121
    0.75
    3.5
    57
    21
    A
    26
    50
    .
    00
    .49
    43
    16
    29
    1
    .
    67
    27
    55
    .00
    33
    53
    88
    28
    59.00
    1.00
    2'
    59
    .50
    54
    0
    .
    72
    30
    60
    .
    00
    .43
    42
    16
    27
    30
    60
    .00
    38
    0.82
    31
    64.00
    0.35
    31
    64.00
    48
    UU
    37
    120
    0
    .
    65
    1.8
    48
    19
    A
    32
    64
    .
    50
    1
    .
    1
    6
    NOTE
    S
    :
    TY
    P
    E OF
    TEST
    TYP
    E
    OF FAILURE
    Plus Sig
    n
    s [+J denote tests wh
    ic
    h
    exceeded the
    U
    - Unconfined Compression
    A - Bulge
    capacity of the measuring device
    .
    UU-
    Unco
    n
    solidated-Undrained Triaxial
    B - Si
    n
    gle S
    h
    ear Plane
    CU
    -
    Consolidated-Undrained
    Triaxial
    C -
    Multiple Shear Plane
    NP = Non
    Plastic
    Material
    0
    -
    Vertical
    Fracture
    i
    i
    I

    alt
    I
    @
    ;0
    ro
    'C
    ~
    Z
    ?
    0,
    ~
    ~
    '1l
    ~
    l'
    g'
    Checked By
    :
    J/ e,
    Approved By:
    P'''L
    Summary of Test Results
    Date:Woe
    Date: .,
    ;i;6J'
    Drawn By:
    -rr:.,,,.1
    Date:
    q
    (
    :<
    /
    0
    S
    J
    ob No.:
    0201
    -
    6501-4
    02-Sep-2008
    (Ver
    .
    #6)
    Boring: Texas Offshore Port System
    ,
    SPM
    #2 Anchor Leg
    #6
    Block
    :
    A-36
    Area:
    Ga
    l
    veston
    Identification Tests
    S
    trength Estimate
    Miniature Vane Tests
    Comp
    r
    ession
    Tests
    Pu,ing
    (ksf)
    (ksf)
    Uqu;d
    PI:astle
    Moistu
    ..
    Submerged
    No. 200
    Moisture
    Confining
    Und
    i
    sturbed
    Remolded
    6.
    Subrnertred
    Fallul'1l
    Sample
    Depth
    Uquldity
    Limit
    Umit
    Content
    UnltWlill1lt
    Sieve
    ,.,,,
    Content
    Pressure
    Sttf:ngth
    Strength
    Strain
    UnilWelght
    Strlln
    Type
    of
    ".
    Iftl
    h'ldU;
    I%(
    1%1
    1%1
    led)
    1%)
    Penetromele.r
    TaNane
    Undisturbed
    Remolded
    RasidWlI
    T.~
    1%)
    (psi)
    ''"'
    ",,'
    1%)
    (pc")
    ('M
    Failure
    33
    65.00
    .
    46
    46
    17
    30
    0.99
    34
    6
    7.
    00
    1.00
    3.
    67
    .
    50
    UU
    35
    120
    0
    .
    73
    2.0
    52
    16
    A
    3.
    67
    .
    50
    54
    UU
    35
    120
    0
    .
    37
    50
    3.
    68.00
    33
    3.
    68.00
    34
    0.80
    0.98
    37
    74
    .
    50
    54
    UU
    41
    120
    0.87
    2.2
    54
    10
    A
    38
    75.00
    .
    56
    65
    19
    45
    1
    .
    50
    1.60
    1
    .
    60
    39
    85
    .
    00
    1.50
    1
    .50
    40
    85
    .
    5
    0
    48
    UU
    41
    120
    1.66
    1.1
    49
    4
    AB
    4
    0
    85
    .
    50
    UU
    41
    120
    0
    .
    59
    48
    41
    86.00
    36
    1.50
    1
    .25
    1
    .44
    42
    95.00
    1
    .
    25
    1.30
    43
    95
    .
    50
    UU
    12
    1
    0
    .
    55
    46
    43
    95
    ,
    50
    UU
    40
    12
    1
    1
    .
    47
    0.9
    46
    4
    B
    44
    96.00
    .
    58
    49
    16
    35
    1
    .
    50
    1.35
    1.30
    45
    105
    .
    00
    1.25
    1.40
    4
    .
    105
    .
    50
    46
    47
    106.00
    42
    1
    .
    25
    1.50
    1.74
    47
    106
    .
    00
    33
    48
    1
    15
    .
    00
    2
    .
    25
    1
    .
    50
    49
    115
    .
    50
    UU
    121
    0
    .
    52
    45
    N
    O
    TE
    S
    :
    TYP
    E
    OF
    T
    EST
    TYP
    E
    OF
    F
    AILURE
    Plus
    Signs [+]
    denote
    tests
    which
    exceeded the
    U
    -
    Unconfined Compression
    A -
    B
    ulge
    capacity
    of
    the measuring device.
    UU-
    U
    nconsol
    i
    da
    t
    ed-Undra
    in
    ed
    T
    riaxial
    B -
    Si
    n
    gle Shear Pla
    n
    e
    CU- Consolidated-Undrained Triaxial
    C
    - Multiple Shear Plane
    NP
    =
    Non Plastic Material
    D
    - Vertical Fracture

    alt
    I
    @
    I
    "0
    i:'
    o
    ;,.
    z
    !>
    Ii:l
    ~
    0,
    ~
    Checked
    By
    :
    M.~
    Approved
    By
    :
    p",-
    Summary of Test Results
    Identification
    T
    ests
    Liquid
    P!astl~
    Moisture
    Submerlled
    Samp
    le
    Depth
    Uqllidity
    Limit
    Urnl!
    Conblnt
    Unit Weight
    "".
    I')
    Index
    I.,
    I.,
    I.,
    "."n
    4.
    115
    .
    50
    50
    116
    .
    00
    .42
    81
    21
    46
    51
    1
    24.50
    56
    52
    125.00
    31
    52
    125.00
    29
    53
    130
    .
    00
    54
    130
    .50
    54
    130.50
    55
    131
    .
    00
    .
    44
    81
    22
    48
    Date"lfZ/oS
    Date
    :
    'T/?
    ~,j'
    Strength
    Estimate
    Passing
    Iksf)
    No. 200
    SieV1l
    ..I
    Penetrometer
    TONane
    1.75
    1.70
    1.50
    1
    .
    50
    2.50
    1.80
    2.50
    2.00
    ~
    Drawn
    By:
    1(;,
    M
    e>/
    Date:
    '7
    ("
    101'
    Job No.:
    0201-6501-4
    02-8ep-2008
    (Ver
    .
    #6)
    Boring: Texas Offshore Port
    System, SPM
    #2 Anchor Leg #6
    Block:
    A-36
    Area:
    Galveston
    Miniature
    Vane
    Tests
    Compression Tests
    Iksf)
    Moisture
    '
    Corifinlng
    UndlstLllbed
    Remolde.d
    E.
    Submerged
    F~ilu",
    "po
    Content
    PI1l$sure
    Streng
    th
    Strength
    Str.llin
    UnllWel"ht
    Strain
    Type of
    Undisturbed
    Remolded
    Residual
    Test
    ..
    I
    (psi)
    I...,
    I"n
    I.,
    [pcl)
    (
    '/o
    j
    Falhll1l
    UU
    44
    120
    1
    .
    64
    0.8
    45
    3
    C
    2
    .
    08
    1.96
    UU
    122
    0.63
    44
    UU
    46
    119
    2.09
    1.2
    43
    3
    B
    1.9
    3
    ~
    NOTES:
    TYPE OF TEST
    TYPE OF FAILURE
    Plus Signs
    [+
    ]
    denote tests
    which
    exceeded
    the
    -I
    U
    _Unconfined Compression
    A _ Bulge
    capacity of
    the measunng dev1ce.
    ;
    UU- Unconsolidated-Undrained Triaxial
    B
    - Single Shear Plane
    Co
    CU- Consolidated-Undrained
    Triaxial
    C - Multiple Shear Plane
    a.
    0
    _
    Vertical Fracture
    NP = Non Plastic Material

    alt
    I
    @
    il'
    "
    0
    "
    z
    ?
    0
    '"
    0
    ~
    0,
    '"
    ~
    "
    ~
    !:
    '"
    w
    100
    90
    80
    I
    f-
    70
    '"
    ~
    60
    >-
    "'
    '"
    ;;;
    50
    'f)
    'f)
    ..:
    0-
    f-
    z
    w
    40
    ~
    W
    0-
    30
    20
    10
    0
    100
    Checked by
    ;
    A~
    Approved
    by
    :
    .t?~
    U.S.
    STANDARD
    SIEV
    E
    SIZES IN INCHES
    3
    2
    I
    Coarse
    SAMPLE NO.
    14
    17
    23
    1
    3
    /
    4
    3
    /
    8
    I
    I
    I
    10
    GRAVEL
    I
    Fine
    DEPTH, FT
    17
    .
    00
    24.50
    44
    .
    50
    Dateo'l/'2/
    Co
    "6
    Date
    ~t0
    U
    .
    S
    .
    STANDARD
    SIEVE NUMBERS
    4
    10
    20
    40
    60
    100
    200
    I
    T~
    !
    I
    !
    I
    I
    I
    I
    J
    .
    I
    I
    I
    I
    I
    I
    I
    1
    0
    .
    1 .075
    GRAIN S
    IZE
    IN
    MILLIMETERS
    SAND
    Coarse
    I
    Medium
    I
    Fine
    SYMBOL
    CLASSIACATION
    o
    c
    SANDY SILT
    (ML)
    with a
    few
    clay
    pockets
    and shell tagments
    SIL
    T
    (M
    L
    ) with sand
    and
    many clay
    poc
    k
    ets
    SILT
    (ML) with
    a
    t
    ra
    ce
    of sand, an H2S
    odor and a ew clay seams
    GRAIN-SIZE DISTRIBUTION CURVES
    Texas Offshore Port System, SPM #2
    Anchor
    Leg
    #6
    Block A-36, Galveston Area
    Drawn by
    :
    7T
    &
    /t'I
    ~
    {
    Date
    :
    "1
    1
    .>..
    !t?
    f
    HYDROMETER
    0
    1
    0
    2
    0
    30
    j:
    '"
    4
    0
    >-
    ~
    "'
    0
    w
    5
    0
    z
    a::
    w
    ~
    60
    ~
    w
    0
    a::
    7
    0
    g:
    80
    90
    1
    00
    0
    .
    01
    0
    .
    002
    0.001
    S
    ILT
    or
    CLAY

    alt
    I
    @
    ;0
    ro
    "C
    0
    :l.
    Z
    ?
    0
    '"
    ~
    C,
    '"
    ~
    ."
    ~
    !:
    '"
    C'
    100
    90
    80
    f-
    70
    I
    t9
    >-
    ~
    OJ
    60
    z
    t9
    iii
    50
    «
    en
    "-
    f-
    z
    40
    LU
    ()
    '"
    LU
    "-
    30
    20
    10
    0
    100
    3
    Chec
    k
    ed
    by
    :
    ;(@,
    Approved by:
    .;t?~
    U
    .
    S
    .
    STANDARD
    SIEVE
    SIZES
    IN
    INCHES
    2
    1
    314
    I
    I
    I
    I
    GRAVEL
    Coarse
    I
    318
    10
    Fine
    SAMPLE NO.
    DEPTH, FT
    27
    5
    5.0
    0
    Dale,
    "If-z:
    It)
    'b
    D
    ale'
    ?~h
    Orawn by
    :
    {f
    ',,~g
    I
    D
    ate; '1
    f" 10
    5'
    U.S
    .
    STANDARD SI
    E
    VE
    NUMBERS
    HYDROMETER
    4
    10
    20
    40
    60
    100
    200
    T
    T ...
    I
    I
    I
    '
    I
    I
    I
    1
    0
    .
    1
    .
    075
    0.01
    GRAIN
    S
    IZE
    IN
    MILLIMETERS
    SAND
    Coarse
    I
    I
    S
    ILT
    or
    CLA
    Y
    Medium
    Fine
    SYMBOL
    CLASSIFICATION
    o
    SILT
    (ML) with
    a
    trace
    o
    f
    sand
    ,
    an
    H
    2S
    odo
    r
    , a i:!:w c
    l
    ay seams and
    p
    ockets
    of
    organic
    matter
    GRAIN-SIZE DISTRIBUTION CURVES
    Texas Offshore Port System
    ,
    SPM #2 Anchor Leg #6
    Block A-36, Galveston Area
    0
    10
    2
    0
    30
    40
    50
    60
    70
    80
    90
    100
    0.002
    0.001
    f-
    I
    >2
    ~
    OJ
    >-
    0
    LU
    z
    «
    f-
    LU
    '"
    f-
    Z
    LU
    ()
    '"
    LU
    "-

    alt
    1.25
    ...
    ~
    ....
    ,.
    "-
    ~
    1.00
    0
    ..
    !
    (f)
    ~
    (f)
    Q)
    I
    ~
    -
    ...
    U)
    ~
    ...
    0
    0.75
    0
    -
    I
    C1l
    .:;
    Q)
    0
    '0
    Q)
    N
    0.50
    C1l
    E
    ...
    0
    z
    0
    .
    25
    0.00
    4
    8
    12
    16
    Strain
    in
    Percent
    Maximum
    Confining
    Deviator
    C
    urv
    e
    Sample
    Depth
    Te
    st
    Pressure
    St
    res
    s
    GSO
    No.
    [It]
    T
    ype
    [psi]
    [ksij
    [%]
    cr----tl
    10
    10
    .00
    UU
    121.1
    1.22
    2.1
    "
    El
    20
    33.50
    UU
    120
    .
    2
    2.05
    5.6
    25
    49
    .5
    0
    UU
    120
    .
    6
    1.51
    3.5
    31
    64.00
    UU
    120
    .
    0
    1.31
    1.8
    • Normalized with
    respect
    to maximum deviator stress.
    STRESS-STRAIN CURVES
    Unconsolidated-Undrained Triaxial Compression Test
    Texas
    Offshore Port System, SPM
    #2
    Anchor
    Leg
    #6
    Block A-36
    ,
    Galveston Area
    20
    PLATE
    A-16a
    I
    Report
    No
    .
    0201-650
    1
    -
    ~
    ---------------------------------

    alt
    ,
    '"
    ~
    ~
    (S-
    0
    1i
    ..,
    ~
    C/)
    ~
    C/)
    (])
    ~
    >-
    ....-
    <D
    (/)
    ~
    ~
    "
    0
    0
    ....-
    .
    ;;:
    C1l
    (])
    0
    ""0
    (])
    .!:::!
    C1l
    E
    ~
    z
    0
    1.25
    1.00
    i"""
    0
    .
    75
    J
    r,t
    I
    0.50
    0.25
    ~
    f
    0.000
    4
    8
    12
    16
    Strain
    in Percent
    Maximum
    Confining
    Deviator
    Curve
    Sample
    Depth
    Test
    Pressure
    Stress
    E50
    No
    .
    [tt]
    Type
    [ps
    i
    ]
    [ksfj
    [
    %
    ]
    e>------<>
    35
    67.50
    UU
    120
    .
    3
    1.45
    2.0
    [}--"!'J
    37
    74.50
    UU
    119
    .
    9
    1
    .75
    2.2