Exhibit 1, Page 2 of 4
Sample No.
00-17
Location: approx. 13,500 ft northeast of Matagorda Ship Channel
Time: 1215
Visual Description: Silt with clay pockets and lumps.
Water Depth: 12.3 ft
Weight
of Rod: 1.5 ft
Pipe Drop: 2.5 ft
Pipe Push: Too deep, but thown down 5 ft
Refusal Depth:
Nt
A
PVC Push Tube Sample Depth: 0.4-0.9 ft
Sample No.
00-15
Location: approx. 9,300 ft WSW of Channel to Palacios
Time: 1233
Visual Description: Silt, very soft
Water Depth: 12.6
ft
Weight of Rod: 2.5 ft
Pipe Drop: 3.7
ft
Pipe Push: Too deep, but thown down 5 ft
Refusal Depth:
Nt
A
PVC Push Tube Sample Depth:
NtA
Sample No. 00-13
Location: approx. 3,300 ft WSW of Channel to Palacios
Time: 1300
Visual Description: very clayey, very little sand. High PI
Water Depth: 11.4 ft
Weight
of Rod: 2.0 ft
Pipe Drop: 2.9 ft
Pipe Push: Too deep, but thown down 5 ft
Refusal Depth:
NtA
PVC Push Tube Sample Depth:
NtA
SampleNo.00-12
Location: approx. 200 ft west of Channel to Palacios
Time: 1330
Visual Description: no grit or sand. Soft clay.
Water Depth:
12.0
ft
Weight of Rod: 2.4
ft
Pipe Drop: 3.2 ft
Pipe Push: Too deep, but thown down 5 ft below bottom
Refusal Depth:
Nt
A
PVC Push Tube Sample Depth: 0.4-1.0
ft
Sample No. 00-11
Location: approx. 2,600 ft northeast of Channel to Palacios
Time: 1346
Visual Description: silty clay; CL
Water Depth: 13.6 ft
Weight
of Rod: 0.9ft
Pipe Drop: 3.8
ft
Pipe Push: Too deep, but thown down 5 ft below bottom
Refusal Depth:
Nt
A
PVC Push Tube Sample Depth:
Nt
A
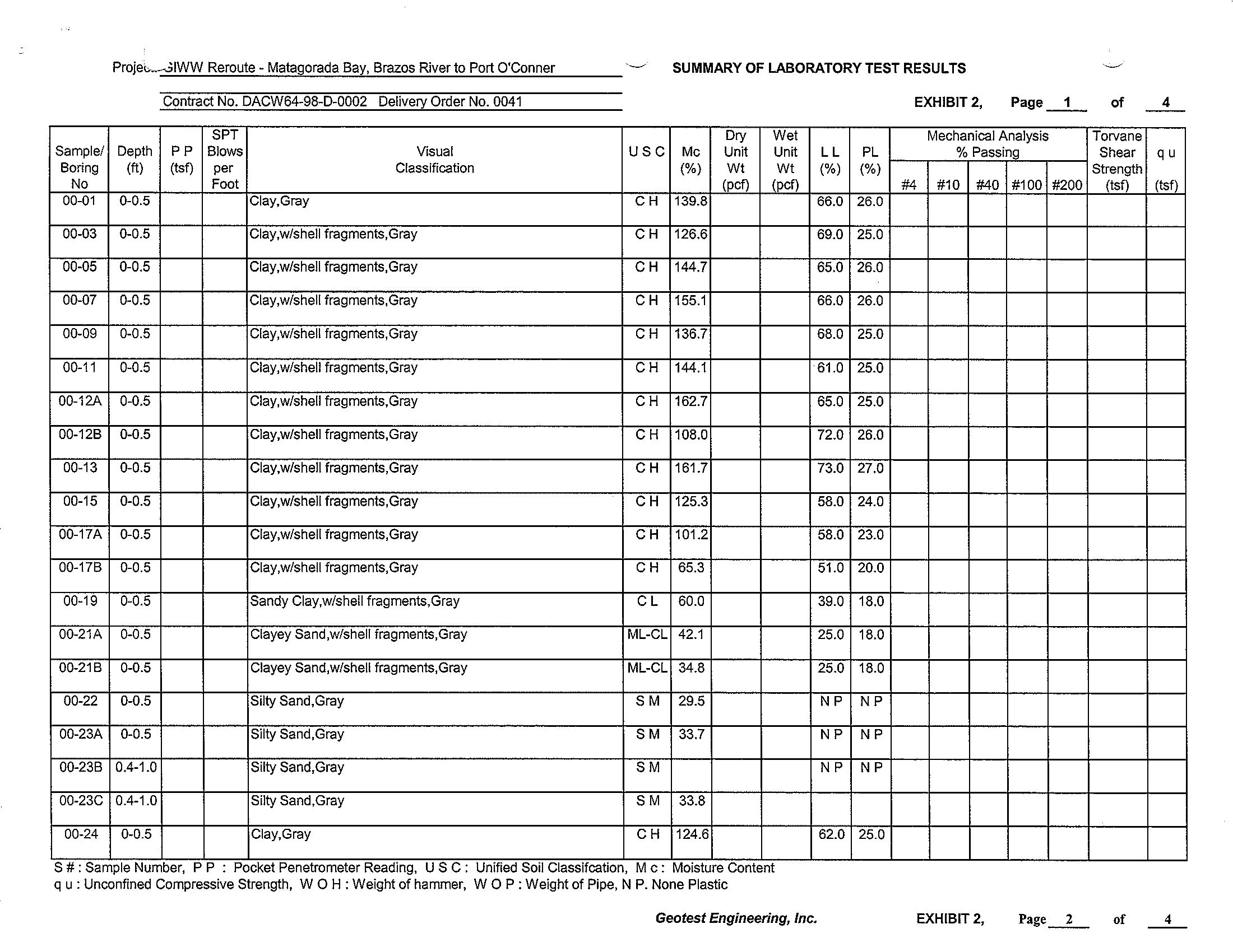
Projec...-3IWW Reroute - Matagorada Bay, Brazos River to Port O'Conner
SUMMARY OF LABORATORY
TEST
RESULTS
Contract No. DACW64-9S-D-0002 Delivery Order No. 0041
SPT
Dry
Wet
Samplel Depth
PP
Blows
Visual
USC
Me
Unit
Unit
Boring
(It)
(tsf)
per
Classification
(%)
Wt
Wt
No
Foot
(pel)
(pcf)
00-01
0-0.5
ClaY,Gray
CH
139.S
00-03
0-0.5
Clay,wlshell
fragments,Gray
CH
126.6
00-05
0-0.5
ClaY,wlshell
fragments,Gray
CH
144.7
00-07
0-0.5
Clay,wlshell fragments,Gray
CH
155.1
00-09
0-0.5
ClaY,wlshell fragments,Gray
CH
136.7
00-11
0-0.5
Clay,wlshell fragments,Gray
CH
144.1
00-12A
0-0.5
Clay,wlshell fragments,Gray
CH
162.7
00-12B
0-0.5
Clay,wlshell fragments,Gray
CH
10S.0
00-13
0-0.5
ClaY,wlshell
fragments,Gray
CH
161.7
00-15
0-0.5
ClaY,wlshell
fragments,Gray
CH
125.3
00-17A
0-0.5
Clay,wlshell fragments,Gray
CH
101.2
00-17B
0-0.5
ClaY,wlshell
fragments,Gray
CH
65.3
00-19
0-0.5
Sandy ClaY,wlshell
fragments,Gray
CL
60.0
00-21A
0-0.5
Clayey Sand,wlshell
fragments,Gray
ML-CL 42.1
00-21 B
0-0.5
Clayey Sand,wlshell fragments,Gray
ML-CL
34.S
00-22
0-0.5
Silty
Sand,Gray
SM
29.5
00-23A
0-0.5
Silty Sand,Gray
SM
33.7
00-23B 0.4-1.0
Silty Sand,Gray
SM
00-23C 0.4-1.0
Silty Sand,Gray
SM
33.S
00-24
0-0.5
ClaY,Gray
CH
124.6
S # . Sample Number, P P . Pocket Penetrometer Reading, USC. Unified
..
SOil Classlfcatlon, Me. MOisture Content
q u :
Unconfined Compressive Strength, WaH: Weight of hammer, WOP: Weight of Pipe, N P. None Plastic
Geotest
Engineering, Inc.
EXHIBIT 2,
Page
1
of
Mechanical Analysis
Torvane
LL
PL
%
Passing
Shear
(%)
(%)
Strength
#4
#10
#40 #100 #200
(tsf)
66.0 26.0
69.0 25.0
65.0 26.0
.
66.0 26.0
6S.0
25.0
61.0 25.0
65.0 25.0
72.0 26.0
73.0 27.0
5S.0
24.0
5S.0
23.0
51.0
20.0
39.0
1S.0
25.0
1S.0
25.0
1S.0
NP NP
NP NP
NP
NP
62.0 25.0
EXHIBIT 2,
Page_2_
of
4
q u
(tsf)
4
SUMMARY OF
LAB~TORY
TEST RESULTS
Exhibit~
Page
3
of
4
Project: Matagorada Bay, Brazos River to Port O'Conner
C
ontract
N
o.
DACW64
-
98
-
D
-
0002 DerOd
Ivery r er N
o.
00
41
Samplel
S#
Visual Classification
USC
Mechanical Analysis
Boring
%
Passin
a
No.
#2
#1 112
#1
#112
#3/4
#3/8
#4
#8
#10
#16
#20
#30
#40
#50
#70
#100
#140
#200
00-01
I
Clay,Gray
CH
100
100
100
100
100
100
100 99.5
100
100
100
100
100
100 99.9 99.8
97.8 94.4
00-03
1
ClaY,wlshen fragments,Gray
CH
100
100
100
100
100
100
100
100 99.5 99.3 99.2 99.1 99.0 98.9 98.7 98.3
95.3 91.1
00-05
1
Clay,wlshen fragments,Gray
CH
100
100
100
100
100
100
100
100
99.5 99.3 99.2
99.1
98.9 98.6 98.3 97.4 95.0 93.9
00-07
1
Clay,wlshen fragments,Gray
CH
100
100
100
100
100
100
100
100
99.9 99.9 99.8
99.8 99.8 99.7
99.6 99.5 98.0 96.0
00-09
1
Clay,wlshen fragments,Gray
CH
100
100
100
100
100
100
100 99.8 99.7 99.6
99.4
99.3 99.2 99.1 98.9
98.3 94.4 90.2
00-11
1
Clay,wlshen fragments,Gray
CH
100
100
100
100
100
100
100
100
100
100
100
100
100 99.9 99.8 99.7
98.6 93.6
00-12A
I
ClaY,wlshen fragments,Gray
CH
100
100
100
100
100
100
100
100
100
100
100
100
100
100
99.9 99.9 99.7 99.0
00-12B
I
Clay,w/shell fragments,Gray
CH
100
100
100
100
100
100
100
100
99.9 99.8 99.7
99.6 99.6
99.5 99.5 99.3 98.7 96.6
00-13
1
Clay,wlshell fragments,Gray
CH
100
100
100
100
100
100
100
100
100
100
100
100
100