1. 19710930 Port Aransas to Corpus WW Boring Logs.pdf
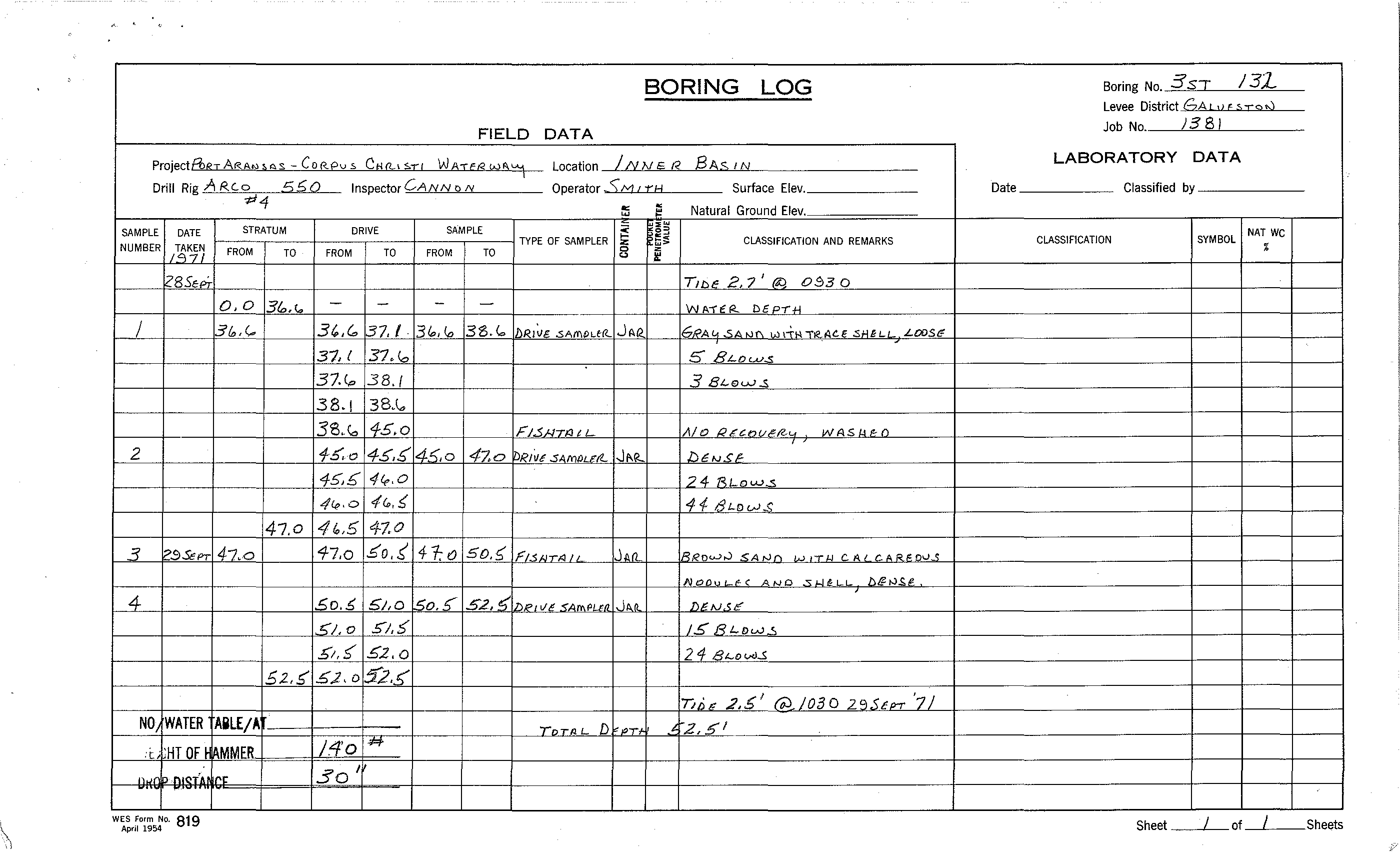
    2. 3ST-132

    alt
     
    BORING
    LOG
    FIELD
    DATA
    ProjectaRTARAN~AS.
    -CORPvs
    CtHUs.rl
    W8:r:ci$
    (~~I.A..\
    Location
    LNb!.S
    P.
    B!'JSI61.
    I
    Drill RigARc.o
    SS:Q
    InspectorCAN!::l.cN
    Operator
    '5.M
    I
    t::OJ
    Surface Elev.
    #4
    "'
    w
    ~
    Natural Ground Elev.
    ~
    ~
    SAMPLE
    ~
    W
    SAMPLE
    DATE
    STRATUM
    DRIVE
    o~
    ~~
    TYPE OF SAMPLER
    '"
    t:i~
    CLASSIFICATION AND REMARKS
    NUMBER
    I~~~
    FROM
    TO
    FROM
    TO
    FROM
    TO
    0
    "
    '"'
    II!
    ?8Sc0
    TlblE
    2,7
    '
    f7:l
    OS30
    0,0
    3(",
    t-,
    -
    -
    -
    -
    WA-r<"f<. D£.£-r-±L
    /
    3{",{...
    3~,Cc
    37,
    f.
    31", fa
    38. (.,
    DRIVe
    .sAm~c'«-
    JAt<
    6RA~
    -SA>l(\ WI-ft\T,,""C.c .;iliEL-".
    LOD$~
    2
    =?
    Pss"PT
    4
    NO
    WATER
    :t;
    'HT
    OF f
    110>(10
    WES Form No. 819
    April 1954
    47,0
    14-;,0
    52,5
    AiLE/A
    MMER
    31, (
    31. Ie
    37.
    r."
    38,(
    38.1
    38.\"
    38.1e
    145.0
    45.0
    45,5'
    45'-S
    41p,0
    4~,o
    4&',5
    4(",5
    47.0
    17,0
    So,t
    So,~
    5/,0
    </,0
    6/,:{
    51,$
    52,0
    52,0
    :12,<'
    14'0
    1#
    30
    I
    5"
    BLO<-u-S
    3 BLsv..J-S
    F'ISMTICl
    t
    I-
    /1/ 0
    RE~nu,e"'L
    WASI4"'O
    14.5,0
    47.0
    ~RIVE SAm~LF'f/...
    JI\R-
    DIENS,e.
    747<,LDuJ,S
    41- !3LDW."s
    4-t:()
    so.~
    f'l.f>f.JTICl'L
    Jon
    IRRovJ,.)
    .<A
    ,"'--CL~,-r"
    C '" CAR •.
    ou_~
    NOD
    'I-I"( AI-IO S>-JELL
    JLfi'tJU
    l5o.5'"
    52,""
    Ihl?
    ,,/
    I! <:A",pun
    ,jH
    J)1EA/.~E
    IS
    RLow,5
    2 4
    8
    <-D
    ""..$
    TJi){;
    2,5 I
    (0)../030 2'lLS-,'P"7'
    '7/
    rn,RL
    D
    '"T'
    .'
    2,5'
    Boring No.
    3 ST
    /32
    Levee District
    GAr ,)
    F STc\\'l
    Job No.
    )381
    LABORATORY
    DATA
    Date
    Classified by
    NAT wc
    CLASSIFICATION
    SYMBOL
    %
    .
    Sheet
    _.--1-1_
    of
    _LI
    __Sheets

    alt
     
    ~
    ~.~
    ~
    ~.,~
    III
    ~"/,,,,;
    ~'.
    I1W
    ~.;.i'";.;
    ~kLl
    m"
    s~
    Form.
    267 --
    1'2
    -!t':&¥.
    1 (l.7l
    I,'
    "
    pao.nier:
    f.~
    v
    fA
    1','1 "'.'
    {l
    f
    -0;-1/":.5
    d
    y!
    'sf/
    waf,. I--'N"/
    J
    t?'
    )
    TEST
    DATA
    SUMMIl.RY
    LOCATION:
    ~
    l-1 "1 '"
    V
    b
    C{
    .'; I !-1
    ample
    g
    Depth,
    8
    ~
    Feet
    ClASSIFICATION
    ~
    e
    8 E3
    ELEVATION TOP BORING ____
    I/-.J '(.,';'
    ""
    ,V,(
    (-;ire.
    ,J
    ~:
    I
    f<{So
    "d
    VJ
    I""
    (I"!
    1-. ,;. -
    47
    ,i'SI>!
    A
    \2.J 4<; In
    "
    J
    II.
    3'-.J .11
    is'osl~,> S;/+"S"",d'.<J/d,,·fl-(\'-.,,~,"f.; 47·s:,~.S'
    StV/
    I4-J
    "'D,.';
    '-z,.',
    ,>..v{.l 1"./),'/",.,
    ;'e'v_<
    /1'
    ,I"~
    (/,
    Ii
    ..
    ..:
    ~~
    z:
    ~
    <l
    "
    ~~
    fl
    "
    z:
    fl
    gill
    3
    "'re
    I
    'D
    1)
    .
    E-<
    ......
    Illt;!,
    §""
    E.
    ME-<
    til ...
    "'1<0
    ~~
    Z
    -....
    M
    • til
    CI "
    <0
    Z:':
    H!:;l
    ~o
    >!.
    ""
    E-<""
    p.:.,.
    ""
    til""
    U
    CI
    'g
    2/
    (09
    :14
    fi
    3.'1
    ?"i
    .
    .
    U'f:
    mgW'DW( -
    gp:sm 10m
    !X!!Slmpcr - O!EESIC!lL!lU sqILS
    va
    S
    K
    8't
    vaT
    VI.
    L
    H
    D
    VD
    (l) , ......
    /Sq.I't. Uricon.!l...d c-pt..d .... StP""tb
    (21
    I
    ~l~.t
    k""_1
    S~l.r
    V_qo Iote. 'olt 1tMIl_ SUff V_1"1 StlU 1iIal.1I V_"1
    ~ ~_
    HM1.. DuM_ Vuy
    o.aII_
    t3)
    J". Nt. at_ f Inlt. Wt.
    I:
    100 • tat.,
    ""
    p.,
    GDLR NO
    I
    :.\ 8'
    1 ,
    BORING NO. 3
    s
    '--./
    :.'~
    z
    DATE COMPLETED
    S
    (' p' .{, 2.
    :"?
    I I:;; 7 I
    ,
    .'
    .
    SIEVE ANALYSIS
    i
    0
    !
    Z
    I'
    PERCENT
    i
    ~
    ACC.
    lIT.
    RTND.
    :.
    OJ
    til
    SJ~VE
    NO. (3)
    ,...
    ""
    ""
    CI
    III