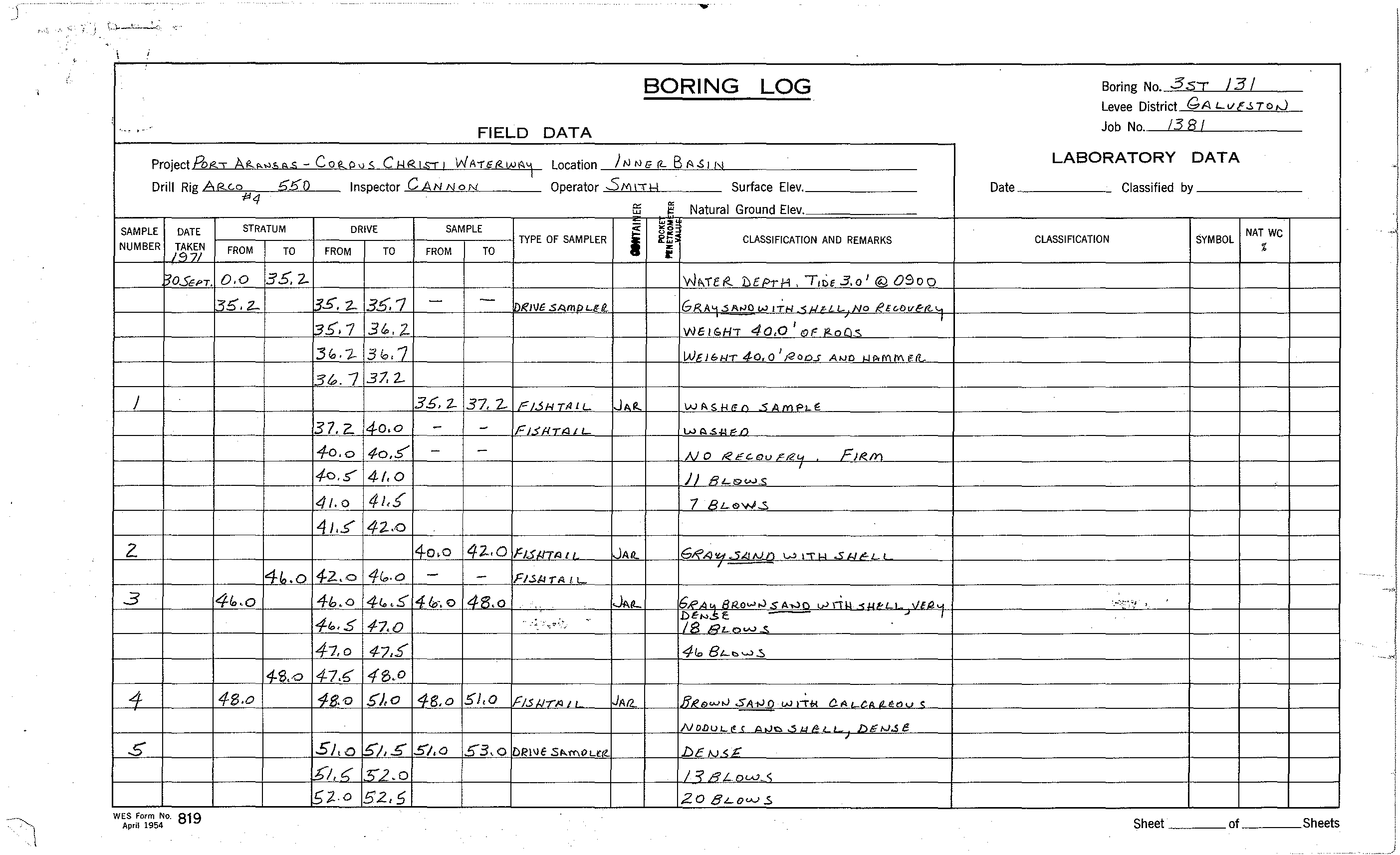
1. 19710930 Port Aransas to Corpus WW Boring Logs.pdf
    2. 3ST-131
      1. 19710930 Port Aransas to Corpus WW Boring Logs.pdf
      2. 3ST-131

    alt
    alt
     
    BORING
    LOG
    Boring No.
    :5
    ST
    13 L
    Levee District
    FIELD
    DATA
    Job No.
    Project
    Po
    f?o
    T
    A
    IS A<-> S II":;
    COR-Pu$.
    C-IHl"IS:r I
    WA1'€Q
    ""1',....
    Location
    LN!::/.E&
    8r:>,s
    II"
    LABORATORY
    DATA
    I
    Drill Rig
    Inspector
    Operator
    Surface Elev.
    Date
    Classified by
    Natural Ground Elev.
    SAMPLE
    DATE
    STRATUM
    DRIVE
    SAMPLE
    NUMBER
    TAKEN
    TYPE OF SAMPLER
    ~
    ~
    CLASSIFICATION AND REMARKS
    CLASSIFICATION
    SYMBOL
    NAT we
    FROM
    TO
    FROM
    TO
    FROM
    TO
    0
    ~
    %
    0
    ~
    >
    .5':3.0
    52.&'
    5:3,0
    To
    AI-
    [)~"''1'H
    53.0
    I
    ,
    '.~
    , ""'Li
    ""/
    ,
    J-I.
    .Hi OF
    AMMER
    I
    UK'
    P DiSTA
    CF
    30"
    ..
    WES Form No.
    April 1954 819
    Sheet __
    ~_
    of ____Sheets
    \

    alt
    alt
    alt
     
    I
    BORING
    LOG
    ' ..
    ,-
    FIELD
    DATA
    Project
    Fb",-,-
    A "-",."" s -
    Coe,
    Qv S
    C
    HRIST I
    WA-rG@,I~f<"
    I
    Location
    INNG
    (L
    BASil"
    Drill Rig.6
    &(.0
    5:512
    Inspector
    C
    IIN
    t1
    0 r,;
    Operator -.Sl:<l1"T8
    Surface
    Elev.
    "'4
    SAMPLE
    DATE
    NUMBER
    l~,,!;f
    ~OSGPT.
    J
    Z
    3
    4
    .5'
    WES Form No. 819
    April 1954
    STRATUM
    FROM
    TO
    0.0
    3.5. Z.
    l'\'5'. z..
    141..n
    410.0
    l4-s.o
    48.0
    DRIVE
    SAMPLE
    FROM
    TO
    FROM
    TO
    35.2-
    35.1
    -
    -
    35'.7 34>.2.
    3"."2-
    310.7
    30.1
    37. 2-
    3£,
    Z.
    37, Z.
    37,2.
    '40,0
    -
    -
    40,0
    40,S
    -
    -
    4o.S'
    4f.O
    41.0
    4{,'{
    4
    1.,5
    4'2..0
    140.0
    4'2..0
    42..0
    4(".0
    -
    -
    410.0
    44.::;
    1410'.0
    148.0
    41",5
    47.0
    41.0
    47,5'
    4-7.5'
    4'8.
    0
    14&.-0
    5),0
    146.0
    ::;1,0
    5},0
    15/,5
    5/,0
    53.0
    1£/,
    c:
    Ix;>. 0
    [5'2
    0
    52,5
    '"
    ~
    Natural Ground Elev.
    '"
    '"
    i
    ~~
    TYPE OF SAMPLER
    f~
    CLASSIFICATION AND REMARKS
    r
    z
    WI\TE f..
    JjEPrI'l
    .
    IIDE
    3.0
    '
    @
    0900
    'DRiVG
    SAmOLglL
    GRA"
    .5""0 w 1';',.,.<
    wH
    .No RHDvl"fI-'-
    I
    WEIG.H, 40,0 -"LF
    "-0C;",
    WI'nl-l-r 40,0 '(200.0 A"'O J.Jp,mM'1L
    r-
    I.5H T" l
    L.
    JAil
    WA$H~{) .sA1Ylf''-~
    F 1SH-r1J I
    L.
    w".s..,,,n
    NO
    tR 1£ Co (10.)
    Er<'='
    £I~JYL
    ,
    ))
    RL19v.>S
    7 RL"V'.L'
    FlsmlJ LI.
    JAil..
    GIf'A'U.5.LIIVn
    w,..,.
    St.!J'.L
    I
    FISJ.I TA
    I L
    JAtL.
    GRA
    ~
    81<0"'.,) S
    AN" v'rill
    ,~
    vEt2
    .
    -':
    .
    ~8NSf=.
    -
    -
    ."".,'"
    /::(1.-0,,",_'
    4",
    Bt...",...,s
    hs /.j.n,
    I I
    JAfI..
    Iii'",,,,,,,,,,
    $A,.JO W-T"
    C
    A .r-A
    IU"
    <
    NODULn A,.J",
    .514t! .L
    .
    DG",,~e
    DRIVE
    5"""0,-<"
    DE
    ~I
    <7C
    / '? 8
    Loy"":"
    20 BLOu..J5
    Boring No.
    3ST
    }3}
    Levee District
    GA LVE.!;rr",J
    Job No..
    138{
    LABORATORY
    DATA
    Date
    Classified by
    NAT WC
    CLASSIFICATION
    SYMBOL
    %
    I
    ,
    '.->~",~'
    ,
    .
    Sheet
    _~~ of_~~
    Sheets
    I
    '1
    I.
    I
    ,
    )

    alt
     
    If '
    Swq Form,
    267
    ---;.;
    {''Q
    Ci'
    f2
    ~,y- 1~71
    ~"'.
    (!
    ~l'
    f
    .
    ~
    I '
    '.'
    "
    GDLR NO
    .,)
    ,~
    ,
    <
    , .<
    .f'i...
    P'ROJEcr:
    Part-
    A'rt1
    :"1.")0 rc"YC!jJe
    :v!r't ,\: (
    J
    te
    r
    f"jt:lj
    ~
    J
    7'
    J.
    '
    TEST DATA SUMMARY
    BORING NO. 3
    S T
    -
    1.5 J
    LOCI\TION
    :0V1
    eY
    13
    f/
    _~.
    I 11
    DATE COMPLETED -5"
    ?t~
    a
    I
    1.5
    -; (
    ,
    ,
    ..:
    .
    .~})!
    W._
    ample
    :.>
    ><
    Z;
    0
    Depth,
    ..l
    "
    Z
    0
    ;..
    Feet
    ClASS IF ICI\TION
    ~
    "
    :l
    ...
    ~
    5
    0
    ELEVATION TOP BORING
    §
    "
    ""
    "
    H
    :.>
    ~
    \:l
    E-< '"'
    ~
    SIEVE ANALYSIS
    br.:l
    p~
    ~~~
    E-t
    >-! I=i
    (I)
    ~
    z
    0
    .
    '/!;1 g
    o..r:::
    E-<
    ~ ~
    OJ
    PERCENT!i
    Ace. WT. RTND.
    :xl E-<
    • '" '" r.:I
    Q
    0
    - •
    ~
    SI"'''' NO
    (3)
    u
    Z:3:
    1-1
    £:-t
    ...:l
    H
    0...
    (I).
    ""',iI.L:..
    io~
    <oo:z;
    ~
    •..
    S E1 r>: '" :;
    Q
    ~, ~
    r:-T.
    .
    .0
    ,P-f til 8 H
    ~
    a
    ~
    Po
    H
    Pol
    pro~
    Cti
    <t;
    p:::
    ~
    H
    Z
    0
    ! 00 00 00
    p.,.
    CIl~
    U
    Q
    CJ)
    p:::)~
    ~
    ...
    " ..
    r_.
    1-1
    >-,.
    ""1"'",---<
    P7' .....
    ZN
    I
    71
    -
    ..u
    _
    " ...
    ~"
    .
    ,-.-4,......
    ..... -
    It J
    "S',;'
    ~7,?
    C
    "j<;,H~So,,,dw/,J,II,r,.~,,..,,·,
    s
    ?S..:z. '-4t:::SP5h
    "r;, yo
    :"112
    '-I"
    1:?,,)'40.1Z
    /
    )
    /
    t-'IM
    2<11300"'JZ:i'SoC'O
    i4C--
    -J.~
    -4C.
    48
    I{::v,-"<I'/f', .."",,,
    )"fh")~,,,d
    4{.,,'
    -S..J SM
    \!..C
    ,'>'0..:e4
    ~c~
    211~
    e:;
    <:;
    70
    241.;-v
    (' "'3
    "'I-
    3'
    4-J,"1ff
    S)
    r'(1/{~OVI'/J')'
    w/"d:,/,'
    <'4(;'.Q,?"
    2&,'
    v
    211S'
    0