1. Block A-56Galveston Area
      1. PLAN OF BORINGS
      2. DESIGN STRENGTH PARAMETERS
      3. DESIGN SUBMERGED UNIT WEIGHT
      4. STRESS-STRAIN CURVES
      5. STRESS-STRAIN CURVES
      6. STRESS-STRAIN CURVES
      7. STRESS-STRAIN CURVES

    alt
    1
    EXECUTIVE SUMMARY
    Fugro-McCleliand Marine Geosciences, Inc. (FMMG) performed geotechnical investigations for
    proposed offshore structures across the Texas Offshore Port System (TOPS), located
    in Block A-56, of the
    Galveston Area
    in the Gulf of Mexico. The primary purpose of the investigation was to obtain soil data to
    develop foundation design recommendations for the Single Point Mooring (SPM) facility, designated
    as
    SPM #1 and SPM #2, of the proposed TOPS facility in Block A-56:
    The field investigation was performed on June 30, July 2 and
    3, 2008, from the RN
    Seaprobe.
    The
    soil conditions were determined by performing a total
    of four exploratory borings, with one boring at a
    selected anchor leg location and one boring
    at the proposed Pipe Line End Termination (PLET) location at
    each
    of the SPM locations. These borings were drilled to a penetration of 131-ft below mudline. The water
    depths ranged from 117
    to 121 ft at the soil boring locations across Block A-56. An exploratory boring was
    also drilled at the Offshore Terminal location
    in Block A-56 and is presented in FMMG's Report
    No. 0201-6502.
    Field and laboratory tests were conducted to determine the pertinent index
    and engineering
    properties of the soils encountered. Engineering analyses were then performed to develop the required
    design information. For the purposes
    of discussion and presentation, "driven pipe pile" is used in this report
    to represent foundation piles, caissons and conductors, unless otherwise specified.
    This report presents axial and lateral design data for 24-in.-diameter driven pipe piles
    at the two
    PLET locations and 42-in.-diameter driven pipe piles for the two anchor leg locations. This data was
    developed using methods and recommendations presented
    in API RP 2A (2000). Pile penetrations should
    be based on allowable capacities with appropriate safety
    or load resistance factors.
    The ultimate seafloor bearing capacity for mud mat and tubular members bearing
    on the seafloor at
    the PLET locations were computed using general bearing capacity methods and recommendations
    presented
    in API RP 2A-WSD (2000). Seafloor bearing capacity equations are presented in the appropriate
    sections
    of the main text of this report to facilitate design of the PLET foundations, if required.
    A review of the geotechnical data indicates that the soil stratigraphy
    in the top 34-ft penetration is
    variable across the block, alluding to channel features across the investigation area. The exploratory boring
    revealed clay layers interbedded with silt, sandy silt, or silty fine sand layers of varying thickness within
    approximately the upper 34-ft of sediments. The underlying soils to at least 131-ft penetration consists
    of
    firm to stiff lean clay to clay, with a shear strength profile that increases with depth. Soil variability is
    demonstrated
    in a comparison of the log of boring and test results presented in Section 3 with the
    subbottom geophysical data at each
    of the boring locations. The geophysical survey was performed by
    Fugro Geoservices, Inc. (FGSI) of Lafayette,
    LA and is presented in detail in FGSI Report No. 2407-1298.
    The information revealed
    in this investigation suggests that the piles can be driven with a properly
    sized hammer to a sufficient depth
    in the above stratigraphy to achieve the desired pile capacity.
    Supplementary installation procedures,
    if necessary, should be applied under close engineering supervision
    to determine the impact of the procedures on pile capacity.
    _@
    Report No. 0201-6503
    1-1

    alt
    ------------------_.---.
    2
    GENERAL PROJECT INFORMATION
    2.1 INTRODUCTION
    2.1.1
    Purpose and
    Scope
    Fugro-McClelland Marine Geosciences, Inc. (FMMG) performed a geotechnical investigation
    program to investigate soil conditions at the proposed Single Point Mooring (SPM) facility locations
    in the
    Texas Offshore Port System (TOPS), located
    in Block A-56, of the Galveston Area in the Gulf of Mexico.
    The primary purpose of the investigation was to obtain data to develop foundation design recommendations
    for anchor leg and Pipe Line End Termination (PLET) locations at the facility sites designated
    as SPM #1
    and SPM #2. To accomplish this objective, the following tasks were performed:
    (1) Four soil borings, with one boring at a selected anchor leg location and one boring
    at the
    proposed PLET location at each
    of the SPM locations, were drilled to 131-ft penetration
    below seafloor
    to explore the subsurface stratigraphy and obtain soil samples for laboratory
    testing;
    (2) Field and laboratory tests were conducted to evaluate pertinent index and engineering
    properties of the foundation materials;
    (3) A comparison of the geotechnical and geophysical data was performed to investigate soil
    variability
    to help in selecting soil parameters; and
    (4) Engineering analyses were performed
    to develop pile design information, seafloor bearing
    capacity, and a general pile installation assessment.
    Enterprise Field Services, LLC specified the boring locations and designations. A plan
    of borings
    presenting the relative positions
    of the four borings is presented on Plate 2-1.
    2.1.2
    Report Format
    The results
    of the geotechnical investigations completed for the TOPS campaign are presented in
    the following reports:
    0201-6500:
    0201-6501:
    0201-6502:
    0201-6503:
    0201-6504:
    0201-6505:
    Offshore Terminal Location, Block A-36, Galveston Area;
    SPM
    #1 and SPM #2 PLET and Anchor Leg locations, Block A-36, Galveston Area;
    Offshore Terminal Location, Block A-56, Galveston Area;
    SPM
    #1 and SPM #2 PLET and Anchor Leg locations, Block A-56, Galveston Area
    (this report);
    Offshore Terminal Location, Block A-59, Galveston Area; and
    SPM
    #1 and SPM #2 PLET and Anchor Leg locations, Block A-59, Galveston Area.
    The initial section
    of this report contains brief descriptions of the field and laboratory phases of the
    study, including a general description
    of the soil stratigraphy and a summary of the findings of the
    geophysical survey across Block A-56.
    Also included
    in this section is a general discussion of the
    engineering methods, axial and lateral pile design, used at all the boring locations. Section 3 presents a
    detailed description
    of the site-specific conditions encountered at each boring location followed by brief
    discussions of axial pile design, lateral pile analyses, seafloor bearing capacity, and pile installation
    recommendations. Discussions
    of the field and laboratory investigations are presented in Appendix A.
    I
    Report No. 0201-6503
    2-1
    -@---------------------------------

    alt
    Appendix B contains discussions of analytical procedures used in our engineering analyses. Appendix C
    contains a positioning report by Fugro Chance, Inc., of Lafayette, Louisiana.
    For the purposes of discussion and presentation, "driven pipe pile" is used in this report to represent
    foundation piles, caissons and conductors, unless otherwise specified.
    2.2 FIELD AND LABORATORY INVESTIGATIONS
    The field investigation was performed
    on June 3D, July 2 and 3, 2008, from the RN
    Seaprobe.
    The
    soil conditions were determined by performing four exploratory borings, two at each SPM location with one
    boring at a selected anchor leg location, and one boring at the proposed PLET location. Enterprise Field
    Services selected the boring locations. These borings were drilled
    to a penetration of 131-ft below mudline.
    The water depths
    at the boring locations ranged from 117 to 121 ft. A chronological summary of field
    operations
    is presented in Appendix A.
    2.2.1
    Exploratory
    Borings
    FMMG personnel drilled the soil borings with a DMX drill rig positioned over the centerwell of the
    RN
    Seaprobe.
    The vessel was anchored at the boring location by a 4-point mooring system.
    Soil
    conditions at the site were explored by drilling a group of four soil borings to 131-ft penetration below the
    seafloor. The final coordinates for the boring locations are presented in Table 2-1. A plan of borings within
    Block A-56, of the Galveston Area
    is presented on Plate 2-1. Fugro Chance, Inc., of Lafayette, Louisiana,
    conducted surveying utilizing STARFIX and DGPS,
    and performed a 360-degree scanning sonar survey at
    each of the boring locations. The positioning report, prepared by Fugro Chance, is presented
    in Appendix
    C. The scanning sonar reports are available from Fugro Chance upon request.
    FMMG
    Boring
    Designation
    SPM#1 PLET
    SPM
    #1 ANCHOR
    LEG #2
    SPM#2 PLET
    SPM #2 ANCHOR
    LEG
    #6
    Table 2-1: Final Boring Coordinates
    (Texas South Central Zone Coordinates)
    Fugro Chance
    Proposed Boring
    Final Boring
    Boring
    Coordinates
    Coordinates
    Designation
    Core 3
    X
    =
    3,258,627.75 ft
    X
    =
    3,258,639 ft
    Y
    =
    252,334.60 ft
    Y
    =
    252,312 ft
    Core 1
    X
    =
    3,257,224.19 ft
    X
    =
    3,257,199 ft
    Y
    =
    251,897.66 ft
    Y
    =
    251,890 ft
    Core 4
    X
    =
    3,265,632.42 ft
    X
    =
    3,265,650 ft
    Y
    =
    256,177.08 ft
    Y
    =
    256,155 ft
    Core 2
    X
    =
    3,266,735.50 ft
    X
    =
    3,266,759 ft
    Y
    =
    257,148.73 ft
    Y
    =
    257,169 ft
    Boring
    Termination
    Depth
    (tt)
    131
    131
    131
    131
    Samples were obtained through 5.0-in.-OD, 4.5-in.-IF drill pipe at all the locations. Samples were
    generally spaced at 3-ft intervals to 20-ft penetration, at 5-ft intervals to 68-ft penetration, and at 10-ft
    intervals thereafter to the final boring depth at all the locations. The drilling and sampling techniques used
    to complete this boring are explained
    in detail in Appendix A.
    1
    _@
    Report No. 0201-6503
    2-2

    alt
    (
    ---.---------
    Two water depths were measured at each boring location using a seafloor sensor seated in the drill
    bit. The water depth measurements are tabulated
    in Table 2-2. The water depth measurements are
    intended for the purpose
    of the geotechnical investigation only, and are not corrected for tidal or other
    variations.
    If utilized for other purposes, the water depth measurement should be adjusted to account for
    meteorological tide and datum corrections. The water depths measuring procedures are explained
    in detail
    in Appendix B.
    Table 2-2: Measured Water Depths
    Boring
    Water Depth
    Time and Date
    Supplemental
    Time and Date
    Designation
    (tt)
    of Measurement
    Water Depth
    of Measurement
    Jft)
    SPM #1 PLET
    118
    2125 hours on
    119
    0245 hours on
    July 2,2008
    July 3,2008
    SPM #1 ANCHOR
    121
    0650 hours on
    121
    1105 hours on
    LEG #2
    July 3,2008
    July 3,2008
    SPM#2 PLET
    118
    1205 hours on
    117
    1725 hours on
    July
    2,2008
    July 2,2008
    SPM #2 ANCHOR
    117
    0345 hours on
    117
    0945 hours
    on
    LEG #6
    June 30, 2008
    June
    30, 2008
    2.2.2
    Field and
    Laboratory Tests
    The soil testing program was designed to evaluate pertinent index and engineering properties of the
    foundation soils. During the field operation, all samples were extruded from the sampler and classified by
    the soil technician or field engineer.
    Unit weight, Torvane, pocket penetrometer, miniature vane and
    unconsolidated-undrained triaxial compression tests were performed
    in the field on selected cohesive
    samples. All of the samples were shipped to Fugro's Houston laboratory where Atterberg limit tests, water
    content tests, and grain-size analyses,
    as well as additional density tests, unconsolidated-undrained triaxial
    compression tests, and miniature vane tests, were performed.
    A description of relevant laboratory procedures is provided
    in Appendix A.
    The strength and
    classification test results are presented graphically
    on the Logs of Boring and Test Results in Section 3.
    Grain-size distribution curves from sieve-analysis and stress-strain curves from triaxial compression tests
    are presented
    in Appendix A.
    2.3 GENERAL SOIL CONDITIONS
    2.3.1
    Soil Stratigraphy
    The soil stratigraphy at each of the boring locations disclosed by the field and laboratory
    investigations is presented
    in Section 3. The soil stratigraphy is based on the classification of soil samples
    recovered from the boring and observations made during drilling operations
    .. Detailed soil descriptions, for
    each location, that include textural variations and inclusions are noted
    on the respective boring log
    presented
    in Section 3. A key to the terms and symbols used on the boring log is presented on Plate 2-2.
    I
    _@
    Report No. 0201.6503
    2-3

    alt
    --------.--~-------------------------------------
    The Roman numeral representing each stratum is also shown on the respective boring log and on relevant
    plates.
    In general, the exploratory borings revealed stratified cohesive and granular soil profiles with clay
    layers interbedded with silt, sandy silt, or silty fine sand layers
    of varying thickness, within approximately the
    upper 34 ft of sediments. Alternating clay and silty fine sand layers were also encountered at the Offshore
    Terminal boring location
    in Block A-59 (FMMG Report No. 0201-6502) to a depth of about 46-ft penetration.
    The soil below the interlayered zone consists predominately of firm
    to stiff clay with a shear strength profile
    that increases
    with increasing depth.
    2.3.2 Interpretation
    of Soil Properties
    The shear strength and submerged unit weight profiles best represent the assembled test results
    plotted
    on the boring logs are shown on the respective "Design Strength Parameters" and "Design
    Submerged Unit
    Weighf plots in Section 3. These profiles were used in the engineering analyses.
    In developing the shear strength profile for the cohesive soils, undrained shear strength test results
    from miniature vane and unconsolidated-undrained triaxial compression tests were analyzed. The selection
    of shear strength profiles for clay soils and the effects
    of the type of sampling procedure on the profiles are
    discussed by Dennis and Olson (1983) and Quiros, et
    al. (1983). Strength parameters for granular soils
    were selected based
    on their gradation and relative density estimated from sampler blow count information.
    The submerged unit weight profile was developed from actual density measurements and calculated unit
    weight values based on sample moisture content and the assumption of 100 percent sample saturation.
    The
    recommendations for foundation design and installation were developed with the
    assumption that the soil conditions revealed by the borings are continuous throughout the general
    area
    of the proposed foundation structure. Consideration of possible stratigraphic changes, faulting, or
    geologic conditions which may influence foundation design were beyond the scope of this investigation.
    Variations in soil
    conditions may become evident during PLET or pile installation. If variations are
    found, a re-evaluation of the recommendations
    in this report may be necessary. We recommend that
    additional soil borings be obtained
    to determine the site-specific conditions within the immediate proximity of
    the remaining proposed PLET and anchor locations.
    2.4 GEOPHYSICAL SURVEY SUMMARY
    2.4.1
    Introduction
    The purpose of this section is to briefly summarize the results and findings of the high-resolution
    geophysical survey conducted
    in the area encompassing Block A-56 in the Galveston Area as related to the
    proposed
    SPM locations. A map indicating the subbottom profiler data lines is presented in Plate 2-3, with
    the geophysical lines used for interpretation of the highlighted soil borings. Section 3 contains cross-section
    plots
    of integrated data that compares the soil stratigraphy from the borings and geophysical data within the
    immediate vicinity of each boring. A detailed assessment
    of the seafloor and shallow geological conditions
    in Block A-56 is presented in the geophysical report, FGSI Report No. 2407-1298 (Fugro Geoservices, Inc.,
    2008).
    2.4.2
    Water Depth and Seafloor Topography
    Water depths across the survey area range from -111 feet MLLW in the northwest corner to -122 feet
    MLLW
    in the southeast corner, with zero datum equal to Mean Lower Low Water. Bathymetric contours
    within Block A-56 define a seafloor that slopes gently to the southeast at a gradient of 4 feet per mile
    (0.04°).
    I __
    @
    Report No. 0201-6503
    2-4

    alt
    2.4.3 Soil Conditions
    Five geotechnical borings across the project field indicate an upper unit of very soft to stiff gray clay
    to lean clay
    to greenish gray stiff to hard clay up to 11 feet Below Mud Line (BML). Underlying these soils, a
    gray lean clay to silty fine sand to silt unit extends to approximately 20 to 34 feet
    BML. From 34 feet BML, a
    firm to stiff lean clay
    is present to approximately 131 feet BML. The borings represent the generalized soil
    stratigraphy for the study area, but soil properties vary between boring locations
    as revealed by the mapped
    channel features
    and acoustic voids indicated in the geophysical data.
    2.4.4
    Geological Features and Hazards
    Biogenic gas accumulations "acoustic voids" attenuated the subbottom profiler records
    in some
    locations result
    in reduced penetration and resolution within those areas. Extra caution should be exercised
    in these areas.
    However, the soil borings could be used as an indicator that shallow gas was not
    encountered at the boring locations.
    Channels buried 2 to
    18 feet below the seafloor were noted throughout the survey area. Where
    discernable, thalweg depths range from 18 to 113 feet BML. Areas
    of channelized sediment represent
    seafloor locations where geotechnical sediment properties may vary significantly. Site-specific soil borings
    would be necessary
    to determine the specific geotechnical properties of the sediments within the channels.
    2.5 PILE DESIGN INFORMATION
    The pile design information developed for this study inclUdes ultimate axial capacities, axial load-
    pile movement data, and lateral soil reSistance-pile deflection (p-y) characteristics. The analytical methods
    used to develop this information are presented briefly
    in the following paragraphs and in more detail in
    Appendix B.
    2.5.1
    Axial Pile Design
    Method
    of Analysis. The ultimate axial capacity of piles was computed using the static method of
    analysis described in API RP 2A (2000). In this method, the ultimate compressive capacity of a pile for a
    given penetration
    is taken as the sum of the skin friction on the pile wall and the end bearing on the pile tip.
    The weight
    of the pile and soil plug is neglected in the computations. When computing the ultimate tensile
    capacity
    of piles, as well as the compressive capacity of conductors or caissons, the end bearing
    component is also neglected.
    Ultimate Axial Capacity. The unit skin friction and unit end bearing values are presented
    in
    Section 3, and were calculated using the API RP 2A methods described in Appendix B. These values were
    used to calculate the ultimate axial compressive and tensile capacities for 24-in.-diameter pipe piles at the
    PLET locations and 42-in.-diameter pipe piles at the anchor leg locations, driven to final penetration.
    Capacity curves for driven pipe piles (conductors, caissons, anchor
    and foundation piles) are also presented
    in Section 3.
    API RP 2A recommends that pile penetrations be selected using appropriate factors of safety or
    pile resistance factors. For working stress design (WSD), API
    RP 2A recommends that pile penetrations be
    selected to provide factors
    of safety of at least 2.0 with respect to normal operating loads and at least 1.5
    with respect to maximum design storm loads. These factors
    of safety should be applied to the design
    compre.ssive and tensile loads. For load and resistance factor design (LRFD),
    API RP 2A recommends pile
    resistance factors
    of 0.7 and 0.8 for operating and maximum storm loads, respectively. Also, appropriate
    load factors
    shOUld be used to determine operating and maximum storm loads for LRFD design.
    I
    Report No. 0201-6503
    -@----_.
    2.5

    alt
    ------------------------------
    ..
    ---~
    Axial Load Transfer Data. Axial load-pile movement analyses are usually performed using a
    computer solution based
    on methods developed by Reese (1964) or Matlock, et al. (1976).
    These
    programs treat the pile as a series of discrete elements, represented by linear springs that are acted upon
    by nonlinear springs representing the soil. The nonlinear soil springs are referred to as t-z and Q-z curves.
    Input data for the program include: (1) pile dimensions and material properties, (2) load transfer
    characteristics of the soil surrounding the pile, and (3) the pile tip load-tip movement relationship. The axial
    load transfer curves were computed using procedures described
    in API RP 2A and outlined in Appendix B.
    The results of side load-side movement (t-z) and tip load-tip movement (Q-z) data for 24-in.-
    diameter driven pipe piles at the PLET locations and 42-in.-diameter driven pipe piles at the anchor leg
    locations are presented
    in Section 3. The presented Q-z data should be used for foundation piles and
    neglected for caissons and conductor design.
    In developing the axial load transfer data in the cohesive
    soils, a post-peak adhesion ratio of 0.90 was utilized.
    2.5.2
    Lateral Pile Design Data
    The soil resistance-pile deflection (p-y) characteristics of the soils at the boring locations were
    developed for individual 24-in.-diameter driven pipe piles at the PLET locations and 42-in.-diameter driven
    pipe piles at the anchor leg locations. These data may be used
    in lateral load analyses of driven piles,
    conductors and caissons. The p-y data for cyclic loading were developed to 1
    DO-It
    penetration using the
    procedures proposed by Matlock (1970) for soft clays
    and O'Neill and Murchison (1983) for sands. These
    procedures have been outlined
    in API RP 2A and briefly explained in Appendix B. The stratigraphy and
    parameters used
    to develop the p-y data at the boring locations are presented in Section 3, together with
    the p-y data for 24-in.-diameter driven pipe piles at the PLET locations and 42-in.-diameter driven pipe piles
    at the anchor leg locations.
    P-y values presented
    at 100-ft penetration may be used for lateral load
    analyses at greater depths.
    2,5.3
    Pile
    Group Effects
    API
    RP 2A recommends that a pile spacing of less than eight pile diameters be evaluated for group
    effects. This additional analysis can
    be performed by FMMG when pile spacing has been selected.
    2.5.4 Pile and Spud Can Interaction
    When a spud can penetrates into the seafloor, a cylindrical zone of remolded and lower (degraded)
    shear strength
    is created. This zone of lower shear strength soil is called a spud can depression or
    pockmark.
    Piles located near existing,
    or future, spud can depressions may have degraded axial and
    lateral capacities.
    This degradation
    is a function of spud can and pile diameter, depth of spud can
    penetration, distance between spud can depression and pile, and soil type. Consideration should also be
    given to the effects
    on pile performance associated with the potential use of jack-up rigs and the formation
    of future spud can depressions. FMMG can perform this additional evaluation when the geometry and
    layout of the piles and spud can depressions are determined.
    2.6 SEAFLOOR BEARING CAPACITY
    2.6.1
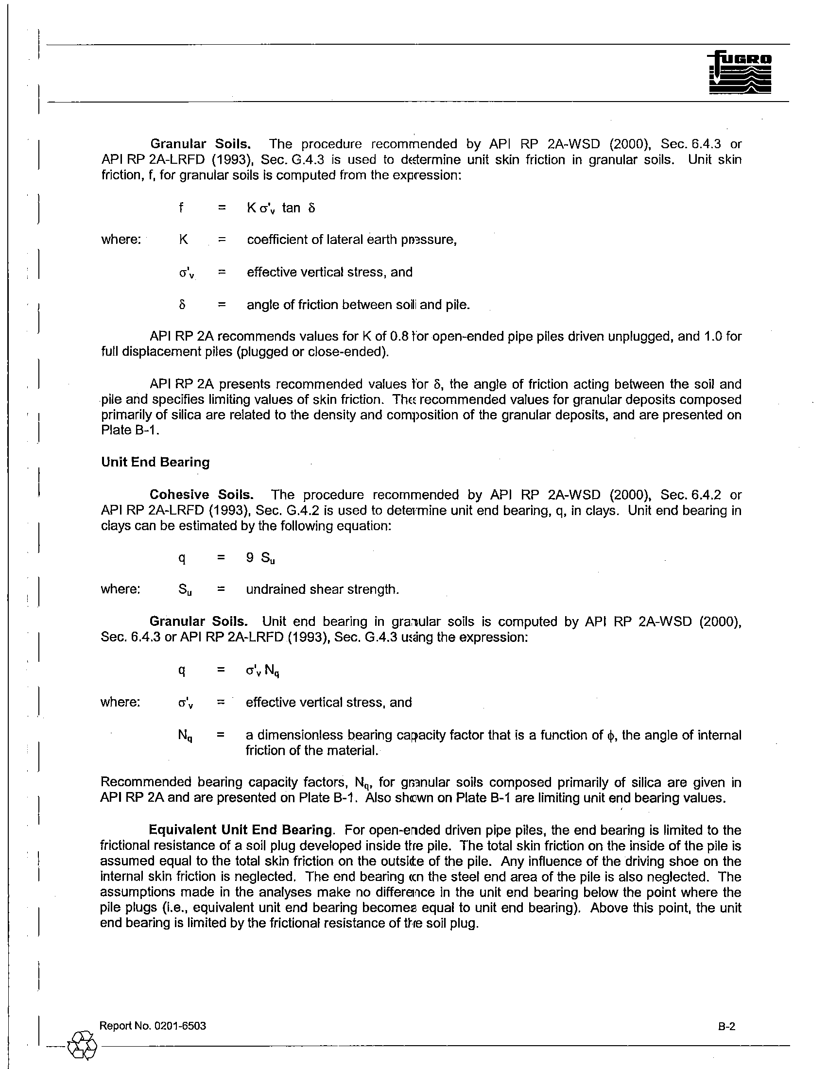
    Bearing Capacity
    Ultimate bearing capacity equations for the surface soils were taken from a design method
    developed by Skempton (1951) based on undisturbed shear strength. Equations are presented
    in Section 3
    for each PLET boring location and can be used to determine the ultimate bearing capacity for horizontal
    tubular members and mud mats resting
    on the seaftoor.
    I
    _@
    Report No. 0201-6503
    2-6

    alt
    The ultimate bearing capacity of the near-seafloor soils is a function of the size and configuration of
    the mud mats. A more detailed analysis of soil deformation and bearing capacity can be undertaken when
    the actual configuration and loading conditions are determined.
    For Working Stress Design (WSD), API
    RP 2A recommends that a safety factor of at least 2.0 be
    used with the ultimate bearing capacity determined from the above equations. For Load and Resistance
    Factor Design (LRFD), a resistance factor of 0.67
    is recommended. Also, an appropriate load factor should
    be used to determine the jacket load in the LRFD design procedure. The ultimate bearing (load-carrying)
    capacity of a horizontal tubular member or mud mat may be calculated
    as the ultimate bearing capacity of
    the soil multiplied by the base area of the mat or member. The equations for ultimate bearing capacity
    presented above are based on static bearing capacity conditions. Significant vertical PLET velocities at the
    time of its placement could cause large or uneven foundation settlements.
    2.6.2 Degraded Bearing
    Capacity
    When a spud can penetrates into the seafloor, a cylindrical zone of remolded and lower (degraded)
    shear strength
    is created.
    This zone of lower shear strength soil is called a spud can depression or
    pockmark.
    Mud mats located in, or near, existing depressions may have reduced (degraded) bearing
    capacity. This degradation is a function of spudcan diameter, depth of penetration, distance between spud
    can depression and mud mat, and soil type.
    FMMG can perform this additional evaluation when the
    geometry and layout
    of the mud mats and' spudcan depressions have been determined.
    2.7 PILE INSTALLATION CONSIDERATIONS
    Pile driving problems are not expected at these boring sites.
    The information
    in this site
    investigation suggests that the piles can likely be driven with a properly sized hammer to a sufficient depth
    in the stratigraphies, presented in Section 3, to achieve the desired pile capacity. A pile drivability analysis
    can be used to evaluate the proper hammer-pile system. Unfavorable soil conditions
    or driving eqUipment
    problems may prevent piles from being driven to the desired penetration. Interruptions
    in driving should be
    as short as possible to reduce set-up of the soil around the piles. Supplementary installation procedures, if
    necessary, should be applied under close engineering supervision to determine the impact
    of the
    procedures
    on pile capacity.
    2.B SERVICE WARRANTY
    The section entitled "Service Warranty" at the end
    of Appendix B outlines the limitations and
    constraints
    of this report in terms of a range of considerations including, but not limited to, its purpose, its
    scope, the data
    on which it is based, its use by third parties, possible future changes in design procedures
    and possible changes
    in the conditions at the site with time. This section represents a clear description of
    the constraints, which apply to all reports issued by FMMG. It should
    be noted that the Service Warranty
    does not
    in any way supersede the terms and conditions of the contract between FMMG and the Client.
    I
    Report No. 0201-6503
    2-7
    -@------~-----------------

    alt
    I
    I
    ~
    1
    ~
    00
    ..!!i
    m
    I
    D
    I~
    , i!i
    2
    m
    m
    D
    0
    x =
    3,256,400ft
    x =
    3,261,400ft
    x =
    3,266,400ft
    Y
    =
    262,500 ft
    N
    Block A-56
    Galveston Area
    ~
    Y
    =
    257,500 ft
    ..........
    Offshore
    Terminal
    I
    /
    "
    \
    Y =
    252,500
    ft
    I SPM #1 PLET \
    SPM #1
    Anch~
    Leg #2£
    I
    \
    1,470 ftl
    ............
    ,/
    Y =
    247,500 ft
    Projection: Texas South Central Zone Coordinates
    PLAN OF BORINGS
    SPMJRAnchof Leg #6
    .,
    ......
    I
    /
    ...
    \
    I
    SPM #2 PLET \
    \
    ~
    I
    \
    1,470ft~
    ....
    ,/
    .... _ ....
    Texas Offshore Port System
    Block A-56, Galveston Area
    _@HeportNo. 0201-6503
    PLATE
    2-1

    alt
    TERMS AND SYMBOLS USED ON BORING LOG
    SOIL TYPES
    SAMPLER TYPES
    [tnd
    m
    Siit
    ~Clay
    ~GraVel
    c:lJDebriS
    ~Llner
    ~In
    Situ
    .....
    ••
    6.6.'1
    ~Thin-
    Walled
    Test
    Tube
    [j]Silly
    mSandY
    ~SandY
    ~peator
    9,.V"
    Coral
    . Sand
    . Silt
    . Clay
    Highly
    Organic
    ••
    ~Piston
    ~Clayey
    mClayey
    m
    Silly
    I
    Rock
    ~Shell
    ~ROCk
    ~NO
    Sand
    Silt
    Clay
    ..
    ..
    Core
    Recovery
    SOIL GRAIN SIZE
    u.s. STANDARD SIEVE
    S"
    3"
    314"
    10
    40
    200
    COBBLES
    GRAVEL
    SAND
    SILT
    CLAY
    COARSE
    FINE
    COARSE
    MEDIUM
    FINE
    152
    76.2
    19.1
    4.76
    2.00
    0.420
    0.074
    0,002
    SOil GRAIN SIZE IN MILLIMETERS
    STRENGTH OF COHESIVE SOILS(1)
    Undrained
    DENSITY OF GRANULAR SOILS
    2,3)
    Consistency
    Very Soft..................................................
    Soft............................................................
    Finn...........................................................
    Shear Strength,
    Kips Per Sq Ft
    Descriptive
    Term
    Very Loose.................................................
    loose..............................................................
    Medium Dense.................................................
    '"'Relative
    Density.
    %
    less than 15
    15 to 35
    35
    to 65
    StilL.........................................................
    Very Stiff....................................................
    Hard.....................................................
    less Ihan 0.25
    0.25 to 0.50
    0.50 to 1.00
    1.00
    to 2.00
    2.00
    to 4.00
    greater than 4.00
    Dense.............................................................
    65 to 85
    Very Dense............................................
    greater than 85
    *Estimated from sampler driving record
    SOIL STRUCTURE(1)
    Slickensided..........................
    Having planes of weakness lhal appear slick and glossy. The degree of slickensided ness depends
    upon the spacing
    of slickensides and the ease of breaking along these planes.
    Fissured...............................:
    Containing shrinkage
    or relief cracks, often filled with fine sand or silt, usually more or less vertical.
    Pocket............ ...................... Inclusion
    of material of different texture that is smaller than the diameter of the sample.
    Parting..................................
    inclusion less than
    1/8
    inch thick extending through the sample.
    Seam....................................
    Inclusion
    1/8
    inch to 3 inches thick extending through the sample.
    Layer....................................
    Inclusion greater than 3 inches thick extending through the sample.
    Laminated.............................
    Soil
    sample composed of alternating partings or seams of different soil types.
    Interlayered...........................
    Soil sample composed
    of alternating layers of different soil types.
    Intermixed.............................
    Soil
    sample composed of pockets of different soil types and layered or laminated structure is not
    evident.
    Calcareous............................
    REFERENCES:
    (1) ASTM D 2488
    (2) ASCE Manual 56 (1976)
    (3) ASTM D 2049
    Having appreciable quantities of carbonate.
    Information on each boring log is a compilation
    of subsurface conditions and soil or rock
    classifications obtained from the field
    as well as from laboratory testing of samples. Strata have been
    Interpreted by commonly accepted procedures.
    The stratum lines on the log may be transitional and
    approximate in nature. Water level measurements refer
    only to those observed at the times and
    places indicated in the text, and
    may vary with time, geologic condition or construction activity.
    I
    Report No. 0201-6503
    PLATE 2-2
    -~----------------------------------

    alt
    ---------------------
    «., LINE
    52402
    Y-260,000
    L/Nr= 82401
    ".,.,.
    ,+
    ".
    ,
    ".
    ".
    ".
    LINES211~"""
    ,
    ""
    ""
    ,-
    ,..
    L'NE
    :;2112 ...
    ~,..
    ,-
    ,
    ,",
    ""
    ,-
    Y-255,000
    -t
    ...
    ,"
    '"
    '"
    "'..,.
    UNE
    8211 f
    ,
    ,.
    -
    '"
    -
    Y-250,000
    -I
    ,.
    ,
    .'
    ,.
    ..,
    -
    -
    -
    ,.
    ..
    ,"
    -t
    ,.
    ,.
    ,.
    ,.
    ,
    ~
    ,"
    ;
    ,"
    ,"
    ~
    ~
    ~
    ~
    !
    i~
    ~
    iJ2!
    Report No. 0201-6503
    -0-9
    ,
    ,
    +
    ,
    ,
    -y
    11 ••
    11,.
    ""
    ,
    ""
    ""
    ,,"
    ""
    "'0
    ,
    -
    r...
    ,-
    ,-
    ""
    ,-
    ""
    +
    ,,.
    ,-
    PM#21 LET
    ,-
    ,
    ,-
    ,-
    ""
    ,-
    -
    ,-
    ',"
    Of
    shore T
    rminal
    t+
    '"
    '"
    ,..
    '"
    ,.
    ,.
    ,.
    ...
    SP
    j\iI#1
    PL
    ~T
    ••
    SPM
    ~Ancl
    or Leg j
    2
    +
    '"
    '"
    '"
    ,.
    '"
    '"
    II-
    +
    ..,
    ,
    ."
    ,.
    ,.
    ..
    ,
    ..,
    ..,
    .,
    -
    '"
    -
    -
    -
    -
    '"
    ..
    ,
    ,
    +
    ,
    Fr-
    ,.
    ,.
    p.
    ,.
    ,.
    ".
    ,"
    ,
    ,"
    ~
    I
    ,.
    i
    ,"
    ,
    -
    ~
    ".
    ~
    ,,,
    i
    ,.
    ,
    -
    ~
    "
    ~
    ~
    ~
    i
    ,~
    ~
    ~
    ,
    ,
    ~
    ~
    MAP OF SOIL BORINGS AND SUBBOTTOM PROFILE LINES
    Texas Offshore Port System
    Block A-56, Galveston Area
    ,
    "00
    ""
    ""
    "5O
    SPM#2
    ,-
    '""
    ."
    '"
    ..
    000
    ,.
    -
    ,
    -
    -
    ,
    ,"
    00
    ,.
    ,.
    ~
    ,
    iii
    ~
    ~
    i
    ,
    "..
    ,-
    o
    ,,,;
    "'
    N
    ~"
    +
    Anchor
    ,-
    '"
    ,.
    '"
    .
    -
    ,"
    iii
    ,
    "'
    ~
    +
    ""
    ""
    N
    1
    ,-
    ""
    ~eg
    #6
    ~
    '-.
    ,-
    +
    '"
    .
    H--
    '"
    I-
    +
    -
    '"
    .
    I--f-.
    ,"
    "f-
    ,
    ,.
    "
    il
    ,
    ~
    ,"
    ~
    ,
    PLATE
    2-3

    alt
    3.4 SPM #2 ANCHOR LEG #6 LOCATION
    3.4.1
    Introduction
    The field investigation at the location designated as SPM #2 ANCHOR LEG #6 was performed on
    June 3D, 2008.
    Soil sampling was performed to 131-ft penetration at Texas South Central Zone
    Coordinates X
    =
    3,266,759 ft and Y
    =
    257,169 ft. The measured water depth was 117 ft.
    3.4.2
    Soil Stratigraphy
    The soil stratigraphy disclosed by the field and laboratory investigations
    is presented on lhe boring
    log, Plate 3-34. The soil stratigraphy
    is based on the classification of soil samples recovered from the
    boring and observations made during drilling operations. A generalized summary
    of the major soil strata is
    tabulated below.
    Stratum
    I
    It
    Itl
    Penetration,
    ft
    From
    To
    0
    6.5
    6.5
    19
    19
    131
    Description
    Soft to stiff clay
    Medium dense silty fine sand interlayered
    with firm to stiff lean clay
    Firm to stiff lean clay
    Delailed soil descriptions that include textural variations and inclusions are noted
    on the boring log.
    A key to the terms and symbols used
    on the boring log is presented on Plate 2-2. The Roman numeral
    representing each stratum
    is also shown on the boring log and on relevant plates. The variation in soil
    stratigraphy across this site
    is indicated in a comparison (integration) of the geophysical and geotechnical
    soil information presented on Plate 3-35.
    3.4.2.1 Interpretation of Soil Properties
    The shear strength and submerged unit weight profiles shown
    on Plates 3-36 and 3-37,
    respectively, best represent the assembled test results plotted
    on the boring log. These profiles were used
    in the engineering analyses.
    3.4.3
    Pile Design
    Information
    The pile design information developed for this study includes ultimate axial capacities, axial load-
    pile movement data,
    and lateral soil resistance-pile deflection (p-y) characteristics. The analytical methods
    used to develop this information are presented briefly
    in Section 2.5 and in more detail in Appendix B.
    3.4.3.1 Axial Pile Design
    Ultimate Axial Capacity. The unit skin friction and unit end bearing values plotted on Plates 3-38
    and 3-39, respectively, was calculated using the API
    RP 2A methods described in Appendix B. These
    values were used
    to calculate the ultimate axial compressive and tensile capacities for 42-in.-diameter pipe
    piles, driven to final penetration at the boring location. Capacity curves for driven pipe piles (conductors,
    caissons, anchor
    and foundation piles) are presented on Plate 3-40.
    API
    RP 2A recommends that pile penetrations be selected using appropriate factors of safety or
    pile resistance factors. These factors are discussed
    in Section 2.5.1 of this report.
    I
    Report No. 0201-6503
    .._@-------------------
    3-10

    alt
    I
    Axial Load Transfer Data. Axial load-pile movement analyses are usually performed using a
    computer solution based
    on methods developed by Reese (1964) or Matlock, et al. (1976). Plates 3-41 and
    3-42 present the results as side load-side movement (t-z) and lip load-tip movement (Q-z) data for 42-in.-
    diameter driven pipe piles, respectively. The Q-z data should
    be used for foundation piles and neglected for
    caissons and conductor design.
    In developing the axial load transfer data in the cohesive soils, a post-peak
    adhesion ratio of 0.90 was utilized.
    3.4.3.2 Lateral Pile
    Design Data
    The soil resistance-pile deflection (p-y) characteristics of the soils at the boring location were
    developed for individual 42-in.-diameter driven pipe piles. These data may
    be used in lateral load analyses
    of driven piles, conductors and caissons.
    The p-y data for cyclic loading were developed to 100-ft
    penetration using procedures that have been outlined in API RP
    2A and briefly explained in Appendix B.
    The stratigraphy and parameters used to develop the p-y data are presented on Plate 3-43. The p-y data
    for 42-in.-diameter driven pipe piles are presented
    on Plate 3-44. P-y values presented at 100-ft penetration
    may be used for lateral load analyses at greater depths.
    I
    Report No. 0201-6503
    .-@----------
    3-11

    alt
    [-------------------
    ~---------------------
    I
    I \
    I'
    I
    I
    I I
    I
    I
    I_@
    _Re~po~rt
    N~O.
    O~201~-65~03
    __
    SECTION 3.4
    ILLUSTRATIONS
    3-12

    alt
    I
    @
    "C
    il'
    a
    "-
    Z
    P
    Rl
    01
    In
    §
    'm
    :l!!..
    o
    ~-
    o
    m
    (/)
    Qi
    ~
    III
    c
    o
    ~
    c
    (l)
    U.
    "1J
    'r'
    ~
    j;!
    ~
    x
    =
    3,266,759'
    Y =257.169'
    Checkt:u oj.
    tr"'-
    u<::t,t:.
    Approved By:
    UJv
    Date:
    '1'/"1L_-
    ~J.
    -
    BLOW
    COUNT
    20
    ..,ri::lwn By:
    II 0,11
    d I
    wall:>.
    -q let,
    - '"
    IDENTIFICATION TESTS,
    [%J
    40
    60
    80
    Texas South Central Zone Coordinates
    SUBMERGED UNIT WEIGHT, [kef]
    UNDRAINED SHEAR STRENGTH
    [ksf)
    I SEAFLOORATEL.-117'
    0.03
    0.04
    0.05
    0.06
    I
    0.5
    1.0
    1.5
    2'0~
    0
    o
    I
    ~~
    SOFT TO STIFF OLIVE GRAYCL.AY
    waH
    +-- --....
    ·Do~+
    I
    I
    I
    !
    ~
    waH
    +- __---
    _J+
    0
    +
    (2.1,4.5)+-7
    ..16.5')
    5
    '
    -~
    ,
    ~.
    MEDIUM DENSE GRAY SILTY FINE SAND
    10 t-
    20
    I="
    30
    I-
    INTERL.AYERED WITH FIRM TO STIFF
    Note:
    See PLATE 3-34b for detailed s4;lil
    stratigraphy
    to
    19
    w
    ft
    penetration
    ,
    ......•"
    ______________
    .....
    ~
    FIRM TO STIFF GRAY LEAN CLAY
    -silty, with a
    few
    sand seams to 20'
    -with sand pockets at 24'
    -with a few shell fragments, 28' to 35'
    40
    I--
    ~
    .. -with shell fragments at 39'
    ~
    -with gas blisters at 44'
    50
    I--
    .. -with
    a few shell fragments to 50'
    ~
    -with a few pockets of organic matter at 53'
    60
    I-
    ~
    (19,0')
    ~
    -with a few light gray bands and partings
    of
    organiC
    ~
    matter at 64'
    70
    I-
    IIII~
    80
    I- [%§ .
    -with a few light
    gray
    bands,
    76' to 98'
    -blocky, with gas blisters at
    7T
    901-~
    100
    I-
    110
    I-
    120
    I-
    .. -fat
    below
    96'
    ~
    -expansive, with gas blisters,
    96'
    to
    108'
    -with silt pockets, partings, and seams
    at 97'
    ~
    ~
    Ya.,J
    ~
    -platy at
    10T
    m
    -with a few silt pockets and shell fragments,
    116'10131'
    130
    ~
    ~
    ~ ~i -brownat1~
    ____ --1.
    131
    .0')
    140
    I--
    150
    I--
    160
    I--
    170
    I--
    180
    I--
    190
    I--
    20
    10
    10
    10
    10
    10
    PUSH
    10
    PUSH
    PUSH
    PUSH
    PUSH
    PUSH
    PUSH
    PUSH
    PUSH
    PUSH
    PUSH
    PUSH
    PUSH
    -
    L
    I
    +- 1___
    I
    i
    o
    II
    +
    *, I
    10
    ++ ...
    -
    0qj
    t+.. I-
    01
    II
    +
    ~
    ""'
    120
    4
    I II.
    1
    \
    0 \
    II
    0
    +
    .c
    I
    I
    I
    130
    o
    +i--~
    o
    o
    ....
    I
    II. I
    '1
    II
    ~$
    1
    I.
    140
    o
    o
    '*
    I I
    • II
    0
    II
    ,$
    \.
    I
    150
    +-~--#--jI-
    o 0
    J:,.
    $';'
    ~
    I I _ I I
    0
    II
    'F
    I •
    160
    +-t---..
    \0
    o
    J:,.
    $
    $
    +,,",$
    $
    +
    1-------1f---t~-t~__t~--J1I
    I
    70
    I
    +-[-----1
    1
    ""'
    0
    1
    "
    J:,.
    1 ,
    1
    1
    180
    .~
    OIDD
    J:,.
    r---+----+--~----+_--~II
    190
    +i----.~--...rp
    1
    0
    flo
    ~
    ...
    100
    .0
    $,.
    1----1---+--_+--1-------1"
    I
    110
    I'"
    \----
    ....0--\---+
    J:,.
    ~
    ..
    r---+----+--~----+_--~II
    I
    120
    1==+=--1
    =\==1
    =ll==+=
    I
    ~t=f
    ~
    130
    t---+--+---+I~·
    --+---111
    I 140
    ~---I---+--_+-___j-~II
    I
    150
    r--+_--I---+---t----lll
    I
    160
    170
    180
    190
    200
    SAMPLING TECHNIQUES
    CLASSIFICATION TESTS
    I
    STRENGTH TESTS
    :
    200
    Number of blows of a 175-lb waight (hammer) dropped appro:w:imately 5 fila produce a
    Y
    SOLUBILITY IN HCL,I%]
    ®
    POCKET PENETROMETER (PPJ
    mallimum of 24 in. ofpenelrahon of a 2.25.in.-oO, 2.125-in.-lD thifl-walled lube
    PERCENT PASSING -200 SIEVE,
    [%]
    TORVANE (TV)
    sampler. "PUSH" denotes a 3.00-in...QD, 2.Bl-in.-ID Ihin-walled lube sampler was
    WATER CONTENT (W), [%1
    ~
    REMOTE VANE (RV)
    advanced 24 in. with the weight of the drill siring. "WOH" denotes a 2 50-In -00,
    0
    SUBMERGED UNIT WEIGHT (SUW)
    • MINIATURE VANE (MV) ($
    RESI~UAL
    (MVres)VAlUE)
    2.125-in.-10 linersamplerwas advanced 24 in. WIth the weight of the hammer.
    .... UNCONSOLIDATED UNDRAINED TRIAXlAl.. (UU)
    PLASTIC LIMIT (PL)
    LIQUID LIMIT (LL)
    +----------------------+
    (Open!
    remolded (r) tests)
    LOG OF BORING AND TEST RESULTS
    Texas Offshore Port System, SPM #2 Anchor Leg #6
    Block A-56, Galveston Area
    """'
    (l)
    :l!!..
    ..:
    o
    1ij
    (l)
    ~I
    o
    Qi
    [lJ
    c
    o
    ~
    c
    (l)
    U.

    alt
    I
    Approved By:
    Q<
    :-~r=-
    Da';,
    fi'h
    'l'
    -
    @
    I
    X'" 3,266,759'
    IDENTIFICATION TESTS,
    (%]
    Y=257,169'
    BLOW
    20
    40
    60
    80
    UNDRAINED SHEAR STRENGTH
    COUNT
    I~
    Texas_South Central Zone Coordinates
    SUBMERGED UNIT WEIGHT. Ikcf]
    g
    ~
    0
    1"-
    z
    Ii
    ~
    5
    IS
    SEAFLOOR AT EL. - 117'
    0.03
    0.04
    0.05
    0.06
    0.5
    1.0
    1.5
    2.0
    J
    SOFT TO STIFF OLIVE GRAY CLAY
    waH
    -en
    -lean, wIth a few shell fragments to 2'
    +
    --
    .....
    ~.
    -gray, mottled with olive gray at 2'
    I
    ]
    -mottled
    with
    yellowish red below 4'
    waH
    -~+
    0
    f-
    -greenish gray, motUed with gray at 4'
    +
    -----=:
    (2.51 ,4.5)+-7
    r-
    -gray
    at 6'
    (6.5')
    5
    MEDIUM DENSE GRAY SILTY FINE SAND
    C
    INTERLAYERED WITH FIRM TO STIFF
    LEAN CLAY
    o
    5
    10
    ~
    -wtth a few clay partings at
    7'
    20
    0
    -moWed with greenish gray and yellowish
    red,
    with
    +-
    feet
    II
    sand pock.ets, partings, and seams, and a few
    10
    'iif
    ~
    II
    pockets
    of
    organic matter
    at
    10'
    -with a few clay pockets and seams at 13'
    10
    ...
    -
    0
    "'"
    <D
    ~
    0
    ~-
    15
    0
    'iii
    c- :::
    -sandy slit layer, with a few black bands, shell
    q
    seams and shell fragments at 15'
    10
    f
    • -1
    ....
    15
    ...:
    0
    0
    0::
    en
    <D
    '"
    <D
    ~
    20
    Qi
    I-
    119.0"
    10
    . FIRM TO STIFF GRAY LEAN CLAY
    +-
    f-
    -silty, with a few sand seams
    to
    20'
    (f)
    20
    <D
    ~
    []J
    .!D
    <:
    0
    ""
    ~
    25
    W
    I
    -with sand pockets at 24'
    10
    J
    0
    0
    ~
    I-
    <:
    .Q
    25
    -
    -
    ~
    <D
    <:
    <:
    <D
    <D
    0.
    -with a few shell fragments, 28' to 35'
    0.
    30
    .!!!
    10
    0
    $
    30
    -
    35
    PUSH
    0
    0
    ..1
    -
    35
    I
    -wlth shell fragments at 39'
    10
    [
    $
    40
    r-
    SAMPLING TECHNIQUES
    CLASSIFICATION TESTS
    STRENGTH TESTS
    40
    Number of blows of a 175-lb weight (hammer) dropped approximately 5 II:
    to
    produce a
    T
    SOLUBILITY IN HCL,
    [%]
    ®
    POCKET PENETROMETER (PP)
    maximum of 24 In. of penetraUon of a 2.25-in.-OO, 2.125-in.-ID thin-walled \tIbe
    PERCENT PASSING -200 SIEVE,
    [%]
    .. TORVANE (TV)
    sampler. "PUSH" denotes a 3.00-ln.-OD. 2.63-1n.-ID thin-walled tube sampler was
    WATER CONTENT 0Nl.
    ["!o]
    <t>
    REMOTE VANE (RY)
    advanced 24 in. Wlth the weight of the dnll string. 'WaH" denotes a 2.50-in.-OD,
    o
    SUBMERGED UNIT WEIGHT (SUW)
    MINIATURE VANE (MY) (-& RESIDUAL (MVres) VALUE)
    2.125-in.-ID liner sarnplerwas advanced 24 in. with the weight of the hammer.
    .... UNCONSOLIDATED UNDRAINED TRIAXIAL (UU)
    PLASTIC LIMIT (PL)
    LIQUID LIMIT (LL)
    r
    +----------------------+
    (Open symbolS indlcate remolded (r) tests)
    LOG OF BORING AND TEST RESULTS
    Texas Offshore Port System, SPM #2 Anchor Leg #6
    Block A-56, Galveston Area
    -
    -

    alt
    ,
    I
    ~
    I
    ,
    ~
    s
    ~I
    P!A.."TlCL1I4tTtl"..):
    t;;W!I)-UWT!U1
    ~----------------------+
    Report No. 0201-6503
    _
    ....
    _
    .....
    _.
    .....,..
    __
    ......
    ,-...
    _
    ,.,.
    ........
    ---
    4_._.........,
    ..... ,
    ...
    -..,--
    .........
    -
    ...
    ~
    GEOPHYSICAL AND GEOTECHNICAL INTEGRATION
    Texas Offshore Port System, SPM #2 Anchor
    Leg #6
    Block A56, Galveston Area
    Portion of Subboltom Profiler
    Line 2013
    N
    PLATE 3-35
    -@-----------------------------------------------------------------------------

    alt
    I
    '~
    I ji
    ~
    "
    I~~
    .Q. S;
    ~~
    I ..
    iii
    1ii
    " "
    [~ ~
    if;
    ~
    I
    ~
    ~
    ~
    e
    >
    ~
    ~
    ~
    "
    '"
    :;:J'
    Q)
    ~
    ..:
    0
    0
    <;::
    !II
    Q)
    en
    :s:
    0
    Q)
    In
    c
    0
    ~
    ~
    Q)
    c..
    Q)
    Shear Strength Profile, [ksf]
    o
    0.0
    0.5
    1.0
    1.5
    2.0
    2.5
    20
    40
    60
    80
    100
    120
    140
    -:,..-1-.-
    I
    --_.-
    ----
    r----
    ---
    ..-
    clay profile
    ..-
    --7'
    $ =
    25., I)
    =
    20.,
    max
    =
    1.4 ksf (see
    note
    2)
    II
    ..-
    f----
    ~..---
    ---
    ---
    ---
    III
    \
    Notes:
    ~
    1. Roman numerals refer to the stratigraphy as
    described in the text and on the boring log.
    I--
    2. Clay profile in this layer is used for end
    bearmg computation.
    r-----------------
    -~---
    -----
    DESIGN STRENGTH PARAMETERS
    Texas Offshore Port System, SPM #2 Anchor Leg #6
    Block A-56, Galveston Area
    [
    Report No. 0201-6503
    PLATE 3-36
    -~-----------------------------------

    alt
    I~
    I~
    ~
    l~
    I
    iii
    !
    I
    r
    ~
    "\0
    ~
    .:a~
    I
    ~~
    (J
    ~
    ~
    (J
    I
    ,~
    ~
    >.
    >.
    m
    m
    I
    ~
    ~
    -1l
    e
    ~
    ~
    ~
    ~
    0
    -<
    :;::;'
    Q)
    ~
    o
    000
    Submerged Unit Weight, [kcf]
    O~
    O~
    006
    008
    010
    e--- -1----- -
    -.L...,lrI--- _. - - -I_
    I
    Nole:
    Roman numerals refer to the stratigraphy as
    I
    described in the text and on the boring log.
    II
    40~-----+-----~-----4~------+------~
    ..:
    o
    o
    ~
    60~-----~------+~-~-~------rl-------~
    Q)
    (J)
    ~
    Q)
    aJ
    III
    5
    80~--------rl----------rl----~----rl----------rl--------~
    ~
    c
    a..
    Q)
    100
    120
    140
    I--------------~-------
    ----_.
    DESIGN SUBMERGED UNIT WEIGHT
    Texas Offshore Port System, SPM #2 Anchor Leg #6
    Block A-56, Galveston Area
    I
    __
    ~-R-ep-ort-N-O-.O-2-01--6-50-3---------------------
    PLATE 3-37

    alt
    i-k
    I~
    .~
    ~
    I
    "
    I~
    I
    "
    r
    "'"
    Q)
    ~
    ..:
    I
    0
    0
    Ei=
    III
    Q)
    en
    l'
    5:
    0
    Q)
    to
    (
    c
    0
    15
    -
    ....
    Q)
    1.
    c
    Q)
    0..
    I
    \
    {;
    ~~
    I
    "
    ~
    "
    t
    .c()
    t
    -<
    {f;
    if;
    I
    u
    u
    ~
    u
    e
    >
    ~
    ~
    ~
    0
    '"
    I
    I
    o
    0.0
    0.5
    "'-...
    Unit Skin Friction, [ksf]
    1.0
    1.5
    ---
    --_.-
    2.0
    2.5
    I
    ---
    20
    -~-
    f---.-
    II
    ----
    --_
    ...,
    c--.=
    ---
    40
    60
    80
    100
    120
    140
    \
    \
    \
    ~
    III
    \
    Noles:
    1. Roman numerals refer to the stratigraphy as
    described in the text and on the boring log.
    2. Tension and compression curves coincide.
    1\
    ------------ ------
    _i___
    -----
    UNIT SKIN FRICTION
    API RP
    2A (2000) Method
    Texas Offshore Port System, SPM #2 Anchor
    Leg #6
    Block A-56, Galveston Area
    I
    Report No. 0201-6503
    PLATE 3-38
    -@---------------------

    alt
    PENETRATION
    BELOW
    CURVE POINTS
    MUDLINE
    (feet)
    1
    2
    3
    4
    5
    0.0
    t
    0.00
    0.00
    0.00
    0.00
    0.00
    z
    0.00
    0.07
    0.13
    0.24
    0.34
    1.0
    t
    0.00
    0.02
    0.04
    0.06
    0.07
    z
    0.00
    0.07
    0.13
    0.24
    0.34
    2.0
    t
    0.00
    0.03
    0.05
    0.07
    0.09
    z
    0.00
    0.07
    0.13
    0.24
    0.34
    2.0
    t
    0.00
    0.10
    0.16
    0.24
    0.29
    z
    0.00
    0.07
    0.13
    0.24
    0.34
    4.0
    t
    0.00
    0.12
    0.20
    0.30
    0.36
    z
    0.00
    0.07
    0.13
    0.24
    0.34
    6.5
    t
    0.00
    0.14
    0.23
    0.34
    0.41
    z
    0.00
    0.07
    0.13
    0.24
    0.34
    6.5
    t
    0.00
    0.10
    0.10
    z
    0.00
    0.10
    42.00
    19.0
    t
    0.00
    0.31
    0.31
    z
    0.00
    0.10
    42.00
    19.0
    t
    0.00
    0.12
    0.20
    0.30
    0.36
    z
    0.00
    0.07
    0.13
    0.24
    0.34
    70.0
    t
    0.00
    0.31
    0.52
    0.78
    0.93
    z
    0.00
    0.07
    0.13
    0.24
    0.34
    117.0
    t
    0.00
    0.47
    0.78
    1.17
    1.40
    z
    0.00
    0.07
    0.13
    0.24
    0.34
    131.0
    t
    0.00
    0.51
    0.85
    1.27
    1.53
    z
    0.00
    0.07
    0.13
    0.24
    0.34
    Notes: 1. ''t'' is mobilized soil-pile adhesion, [ksf].
    2. liZ" is axial
    pile
    displacement, [in.].
    3. Data for tension and compression coincide.
    AXIAL LOAD TRANSFER DATA
    (T-Z DATA)
    API RP
    2A (2000) Method
    42-in.-Diameter Driven Pipe Piles
    6
    0.00
    0.42
    0.08
    0.42
    0.10
    0.42
    0.33
    0.42
    0.40
    0.42
    0.45
    0.42
    0.40
    0.42
    1.04
    0.42
    1.56
    0.42
    1.70
    0.42
    I
    Report No.
    0201-6503
    Texas Offshore Port System, SPM #2 Anchor Leg #6
    Block A-56, Galveston Area
    ~@----
    7
    8
    0.00
    0.00
    0.84
    42.00
    0.07
    0.07
    0.84
    42.00
    0.09
    0.09
    0.84
    42.00
    0.29
    0.29
    0.84
    42.00
    0.36
    0.36
    0.84
    42.00
    0.41
    0.41
    0.84
    42.00
    0.36
    0.36
    0.84
    42.00
    0.93
    0.93
    0.84
    42.00
    1.40
    1.40
    0.84
    42.00
    1.53
    1.53
    0.84
    42.00
    .
    PLATE 3-41

    alt
    I
    I~
    PENETRATION
    BELOW
    CURVE POINTS
    MUDLINE
    (feet)
    1
    2
    3
    4
    5
    40.0
    Q
    0
    17
    35
    52
    63
    z
    0.00
    0.08
    0.55
    1.76
    3.07
    131.0
    Q
    0
    37
    74
    110
    132
    z
    0.00
    0.08
    0.55
    1.76
    3.07
    Notes: 1.
    "Q"
    is mobilized end bearing capacity, [kips).
    2.
    ''z'' is
    axial tip displacement, [in.].
    AXIAL LOAD TRANSFER DATA
    (Q-Z DATA)
    API RP
    2A (2000) Method
    42-in.-Diameter Driven Pipe Piles
    6
    70
    4.20
    147
    4.20
    Texas Offshore Port System, SPM #2 Anchor Leg #6
    Block A-56, Galveston Area
    I
    Report No. 0201-6503
    -@-----------
    7
    70
    42.00
    147
    42.00
    PLATE 3-42

    alt
    I
    ~
    (
    &;
    ~
    (J
    I
    PENETRATION
    BELOW
    MUDLINE
    (feet)
    1
    0.0
    P
    0
    y
    0.00
    2.0
    P
    0
    Y
    0.00
    2.0
    P
    0
    Y
    0.00
    6.5
    P
    0
    Y
    0.00
    6.5
    P
    0
    Y
    0.00
    10.0
    P
    0
    Y
    0.00
    14.0
    P
    0
    Y
    0.00
    19.0
    P
    0
    Y
    0.00
    19.0
    P
    0
    Y
    0.00
    27.0
    P
    0
    Y
    0.00
    100.0
    P
    0
    (and below)
    y
    0.00
    Notes: 1. lip" is soil resistance, [Iblin.].
    2.
    'Y'
    is lateral deflection, [in.].
    CURVE POINTS
    2
    3
    4
    5
    33
    50
    74
    109
    0.06
    0.21
    0.63
    2.10
    40
    61
    91
    133
    0.06
    0.21
    0.63
    2.10
    184
    282
    416
    612
    0.06
    0.21
    0.63
    2.10
    230
    352
    521
    766
    0.06
    0.21
    0.63
    2.10
    116
    193
    254
    320
    0.08
    0.14
    0.20
    0.29
    238
    397
    524
    659
    0.10
    0.18
    0.26
    0.39
    427
    711
    939
    1181
    0.13
    0.23
    0.34
    0.50
    735
    1226
    1618
    2035
    0.17
    0.30
    0.43
    0.64
    197
    302
    447
    657
    0.04
    0.16
    0.47
    1.57
    267
    410
    606
    891
    0.04
    0.15
    0.46
    1.52
    550
    843
    1246
    1832
    0.03
    0.10
    0.31
    1.05
    P-YDATA
    (CYCLIC LOADING)
    API RP
    2A (2000) Method
    42-in.-Diameter Driven Pipe Piles
    6
    158
    6.30
    192
    6.30
    882
    6.30
    1103
    6.30
    366
    0.45
    754
    0.61
    1352
    0.78
    2329
    0.98
    946
    4.72
    1283
    4.57
    2638
    3.15
    Texas Offshore Port System, SPM #2 Anchor Leg #6
    Block A-56, Galveston Area
    I __
    ~_R_e_p_ort_N_O_._0_2D_1_-6_5_D3
    ___________________________________________________
    7
    8
    0
    0
    31.50
    42.00
    21
    21
    31.50
    42.00
    53
    53
    31.50
    42.00
    221
    221
    31.50
    42.00
    381
    385
    0.65
    42.00
    786
    794
    0.88
    42.00
    1408
    1423
    1.12
    42.00
    2427
    2451
    1.42
    42.00
    711
    711
    23.62
    42.00
    1283
    42.00
    2638
    42.00
    PLATE 3-44

    alt
    4
    CONCLUSIONS AND RECOMMENDATIONS
    The TOPS geotechnical investigation program to investigate soil conditions at the proposed SPM
    #1 and SPM #2 facility locations located in Block A-56, of the Galveston Area in the Gulf of Mexico
    consisted of four soil borings, field and laboratory testing,
    and engineering analyses. A summary of the
    pertinent conclusions and recommendations follows:
    Soil borings across the proposed facility locations indicate a significant degree
    of
    near-surface soil variability.
    Soil conditions above 34-ft penetration show channel
    features within the block. These channel features vary both
    in depth and width across
    the block and result
    in variable soil stratigraphy and properties. FMMG recommends
    that a site-specific soil boring be completed at each
    of the anchor and PLET locations
    prior to design
    of the foundation elements.
    A scanning sonar survey was performed at each boring location and is available upon
    request from Fugro Chance.
    The water depth ranged from 117 ft to
    121 ft across the boring locations within
    Block A-56
    in the Galveston Area.
    Final engineering design data are presented for 24-
    and 42-in.-diameter driven pipe
    piles for the PLET and anchor locations, respectively.
    The safety
    and load resistance factors should be carefully reviewed based on
    API RP 2A guidelines and appropriately applied to the engineering analyses presented
    in this report.
    Pile group effects and pile interaction with spud
    can depressions should be evaluated
    when the geometry and location
    of these elements are determined.
    Mud mat bearing capacities at the PLET locations should be reviewed when the final
    size and configurations
    and proximity to spudcan depressions are determined.
    Pile driving problems are not expected based
    on the soil information presented in this
    study but a drivability study could be performed to select
    an appropriate hammer-pile
    combination.
    FMMG would be pleased to assist
    in re-evaluations and additional analyses.

    alt
    I
    ~
    !l.
    z
    !'
    ~
    8:
    o
    '"
    S
    m
    ~
    "
    Checked By: ,44,J
    Date:
    rN~
    Drawn By:
    1'[;,.,.....,
    D
    I
    Date:
    qN/CIJ
    Approved By:
    4"-
    Date:
    -r
    .1711'
    Job No.: 0201-6503-4
    04-Sep-2008 (Ver. #5)
    Summary of Test Results
    Boring: Texas Offshore Port System, SPM #2 Anchor Leg
    #6
    Block: A-56
    Area:
    Galveston
    Identification Tests
    Strength Estimate
    Miniature Vane Tests
    Compression Tests
    Passing
    (ksf)
    (ksf)
    Liquid
    Platlc
    MOlsturtl
    Submerged
    No. zoa
    Moisture
    Confining
    Unilllrtumd
    Remolded
    S,"
    Submerged
    Fallur,
    Sample
    Dipth
    Liquidity
    Llmll
    Llmll
    Content
    UnltWelght
    S1~
    T}-p.
    Contenl
    PruQUrtl
    Sirenlllh
    Strength
    Str.ln
    Unit Weight
    Stl'llin
    Typa of
    N••
    'ft'
    Inde:>:
    ,%,
    ,%,
    '%J
    (pel)
    1%'
    Penetrometer
    TONanl
    Undisturbed
    Ramolded
    Residual
    Test
    1%1
    {psll
    ,...,
    ,...,
    f%1
    ","
    ,%,
    Failure
    1
    1.00
    46
    45
    2
    1.50
    46
    0.17
    0.08
    3
    2.00
    .75
    40
    14
    33
    0.24
    3
    2.00
    38
    0.09
    4
    4.00
    47
    55
    1.42
    5
    4.50
    .32
    50
    14
    26
    5
    4.50
    28
    2.51
    6.50
    .38
    93
    21
    48
    UU
    41
    39
    0.85
    0.9
    48
    8
    -A
    6.50
    0.71
    7
    7.00
    59
    49
    1.50
    1.96
    8
    10,00
    1.75
    1.70
    9
    10.50
    61
    10
    11.00
    .82
    29
    13
    26
    10
    11.00
    23
    1.75
    1.50
    1.25
    11
    14.00
    30
    55
    48
    12
    16.00
    58
    54
    13
    16.50
    UU
    29
    54
    0.80
    10.2
    59
    21
    A
    14
    17.00
    24
    0.48
    0.21
    !
    14
    17.00
    1.11
    27
    18
    29
    "
    19,00
    33
    58
    44
    16
    19.50
    31
    16
    19.50
    2.16
    26
    20
    32
    NOTES:
    TYPE OF TEST
    TYPE
    OF FAILURE
    Plus Signs
    [+] denote tests which exceeded the
    U
    - Unconfined Compression
    A
    - Bulge
    I
    capacity of the measuring device.
    UU- Unconsolidated-Undrained Triaxial
    B
    - Single Shear Plane
    I
    CU- Consolidated-Undrained Triaxial
    C - Multiple Shear Plane
    NP
    = Non Plastic Material
    D
    - Vertical
    r::~ctu~_

    alt
    I
    ~
    ~
    in
    ~
    '"
    o
    '"
    -"
    m
    ~
    t
    C'
    Checked By:
    ~
    Summary of Test Results
    Date:
    r
    {d';.'£.
    /tftW
    ..
    Drawn By:
    "11'...... /
    Date:
    q/I{/og
    Job No.: 0201-6503-4
    04-Sep-2008 (Ver. #5)
    Boring: Texas Offshore Port System, SPM #2 Anchor Leg
    #6
    Block: A-56
    Area: Galveston
    Identification Tests
    Strength Estimate
    Miniature Vane Tests
    Compression Tests
    Passing
    (ks!)
    (ksf)
    Liquid
    P[;stlc
    Moisture
    SublT>8rlled
    No. 2.00
    Moisture
    Confining
    Undisturbed
    Remolded
    E~
    Submerged
    Failure
    Sample
    DepUl
    Liquidity
    LImit
    Llmlt
    Colllent
    UnltWe1llht
    S1~
    Type
    Contant
    Pra&&ure
    strength
    Strength
    Strain
    UnltWelllht
    Stlllin
    T"YJIe of
    N••
    'ft)
    Index
    ,%)
    '%)
    '%)
    "on
    ,%)
    Pa"atromeHr
    Torvane
    Undisturbed
    Remolded
    Rnldual
    T.~
    (%)
    (psi)
    '''''
    ''''
    (%)
    (pet)
    ,%)
    F;nu1'8
    17
    24.00
    0.52
    18
    24.50
    0.15
    18
    24.50
    UU
    30
    65
    0.56
    6.2
    58
    20
    A
    1.
    25.00
    1.21
    28
    20
    29
    0.60
    0.30
    20
    29.00
    0.60
    21
    29,50
    58
    22
    30.00
    30
    0.54
    0.43
    22
    30.00
    1.33
    28
    19
    31
    23
    34.00
    0.74
    24
    34.50
    UU
    31
    65
    0.77
    1.2
    52
    10
    A
    24
    34.50
    0.16
    25
    35,00
    .85
    32
    17
    30
    0.70
    0.66
    26
    39.00
    0.60
    27
    39.50
    59
    28
    40.00
    32
    0.52
    0.43
    28
    40.00
    .91
    34
    17
    32
    29
    44.00
    0.98
    30
    44.50
    UU
    31
    80
    1.01
    1.2
    55
    5
    A
    30
    44.50
    0.22
    31
    45.00
    .81
    35
    16
    31
    0.80
    0.85
    32
    49.00
    1.00
    1.12
    33
    49.50
    54
    NOTES:
    TYPE OF TEST
    TYPE OF FAILURE
    Plus Signs [+] denote tests which exceeded the
    U
    ~
    Unconfined Compression
    A- Bulge
    capacity of the measuring device.
    UU- Unconsolidated-Undrained Triaxial
    B
    - Single Shear Plane
    CU- Consolidated-Undrained Triaxial
    C - Multiple Shear Plane
    NP = Non Plastic Material
    D
    - Vertical Fracture
    ------
    -
    I
    ,
    I
    I
    I
    I

    alt
    I
    ~
    ].
    1l'
    a,
    ~
    §
    ""Cl
    ~
    ~
    ....
    -
    Summary of Test Results
    Identification Tests
    Passing
    Uquld
    Plastic
    Moisture
    Sl.Ibm,rglld
    No. 200
    Sample
    Depth
    LiquIdity
    LImit
    LimIt
    Content
    UnltW,rght
    Slow
    N••
    ,ft,
    Index
    ,%,
    '%)
    ,%/
    'pol)
    '%)
    34
    50.00
    .70
    39
    15
    32
    34
    50.00
    33
    35
    53.50
    35
    53.50
    36
    54.00
    .62
    41
    16
    32
    37
    59.00
    3.
    59.50
    56
    39
    60.00
    30
    39
    60.00
    .64
    34
    16
    28
    40
    64.00
    41
    84.50
    42
    65.00
    .82
    40
    15
    35
    42
    65.00
    43
    67.00
    44
    67.50
    50
    45
    68.00
    33
    45
    6'.00
    35
    4.
    77.00
    47
    77.50
    47
    77.50
    4.
    78.00
    1.02
    36
    16
    37
    49
    86.50
    48
    NOTES:
    TYPE OF TEST
    U
    - Unconfined Compression
    UU- Unconsolidated-Undrained Triaxial
    CU- Consolidated-Undrained Triaxial
    '----
    ~
    ~
    Drawn By:
    1(;,M'
    I
    Date:V./,,;
    .-,
    Job No.: 0201.6503.4
    04.Sep.2008 01er. #5)
    Boring: Texas Offshore Port System, SPM #2 Anchor Leg
    #6
    Block: A.56
    Area: Galveston
    Strength Estimate
    Miniature Vane Tests
    Compression Tests
    (ksf)
    (ksf)
    Moisture
    Connnlng
    UndIsturbed
    RemOlded
    E.
    Submerged
    FaILure
    Type
    Conlent
    Pressure
    Stnln'ilUi
    Stnr.nllth
    Shin
    UnIt Weight
    SIr.r.ln
    Type of
    Penetrometer
    TOrYane
    UndlsturbGd
    Remolded
    Residual
    T.~
    '%)
    (psi)
    "OJ
    '""l
    ,%,
    (pc:f)
    '%)
    Failure
    1.10
    1.70
    UU
    32
    121
    1.23
    1.0
    53
    4
    AC
    1.10
    UU
    121
    0.38
    57
    1.20
    1.55
    1.00
    1.00
    1.00
    1.64
    1.00
    1.26
    0.80
    1.13
    I
    UU
    40
    121
    1.19
    1.2
    51
    9
    AB
    UU
    121
    0.43
    56
    0.64
    1.00
    1.16
    1.70
    I
    1.00
    0.96
    UU
    120
    0.35
    52
    UU
    34
    120
    1.29
    0.9
    52
    3
    B
    1.00
    0.98
    0.96
    1.00
    1.22
    UU
    31
    120
    1.15
    1.1
    52
    5
    A
    I
    I
    TYPE OF FAILURE
    Plus Signs
    [+]
    denote tests which exceeded the
    A. Bulge
    capacity of the measuring device.
    B
    - Single Shear Plane
    C. Multiple Shear Plane
    NP
    =Non Plastic Material
    D
    - Vertical Fracture

    alt
    I
    @~
    o
    '"
    Z
    P
    Summary of Test Results
    ~
    ~
    In
    §
    Sample
    No.
    49
    50
    51
    52
    52
    53
    54
    55
    56
    56
    57
    58
    58
    59
    60
    61
    62
    Depth
    (ft,
    86.50
    87.00
    97.00
    97.50
    97.50
    98.00
    107.00
    107.50
    108.00
    108.00
    117.00
    117.50
    117.50
    118.00
    130.00
    130.50
    131.00
    ~I
    NOTES:
    ;;j
    ;t
    c.
    LiquIdIty
    Index
    .55
    .44
    Identification Tests
    Passlnll
    Uquld
    Plastic:
    MoIslu1\I
    Submeflled
    No. 200
    LImIt
    LImIt
    Contsrrt
    UnltWel"ht
    SI~
    (%J
    (%'
    (%J
    (,of)
    (%J
    38
    55
    17
    38
    44
    47
    44
    74
    20
    44
    53
    32
    TYPE OF TEST
    U
    - Unconfined Compression
    UU- Unconsolidated-Undrained Triaxial
    CU- Consolidated-Undrained Triaxial
    h/c:
    16-
    Drawn By:
    -rr;,."./
    Date:
    1/0/
    lOB
    '7
    Job No.:
    0201-6503-4
    04-Sep-2008 (Ver.
    #5)
    Boring: Texas Offshore Port System. SPM #2 Anchor Leg
    #5
    Block: A-56
    Area:
    Galveston
    strength Estimate
    Mi niature Vane Tests
    Compression Tests
    (ks!)
    panetrometer
    TONane
    1.00
    1.00
    1.50
    1.48
    1.50
    1.40
    1.50
    1.70
    1.75
    1.80
    1.75
    1.75
    1.75
    1.80
    1.50
    1.80
    1.50
    1.65
    (ks!)
    UndIsturbed
    Remolded
    1.19
    1.45
    1.81
    2.21
    1.76
    TYPE OF FAILURE
    A - Bulge
    Ra!lrd~1
    B
    - Single Sheaf Plane
    C - Multiple Shear Plane
    o
    -
    Vertical Fracture
    Moisture
    Confining
    Typ.
    Content
    Prnsura
    TOm
    I%J
    (pII)
    UU
    35
    120
    UU
    38
    121
    UU
    121
    UU
    46
    120
    UU
    46
    121
    UU
    120
    UndIsturbed
    Remolded
    g,.
    Submerged
    Failure
    Stnlngth
    Strength
    Strain
    UnftWelgltt
    Strain
    Type of
    (kef)
    ''''
    ,%,
    Ipcf)
    (%J
    F~rrunl
    0.26
    51
    2.25
    0.7
    48
    2
    B
    0.52
    51
    2.06
    0.4
    46
    2
    AB
    2.15
    0.8
    43
    3
    B
    0.58
    46
    Plus Signs [+] denote tests which exceeded the
    capacity of the measuring device,
    NP :::: Non Plastic Material
    I
    i
    ,

    alt
    I
    @
    OJ
    {l
    0
    "-
    p
    z
    0
    N
    :l
    0,
    '"
    0
    '"
    "tJ
    S
    m
    1-
    ~
    N
    I-
    I
    (9
    >-
    ~
    OJ
    (9
    Z
    Vi
    I-
    ~
    z
    UJ
    II
    0::
    UJ
    "-
    ---L:hecke~ ~
    Da!'--:'ILf/v-
    Approved by:
    /)t
    Date:
    ~tf',k
    U.S. STANDARD
    SIEVE SIZES
    IN INCHES
    U.S. STANDARD SIEVE NUMBERS
    3
    2
    1
    3/4
    3/8
    4
    10
    20
    40
    60
    100
    200
    100
    90
    80
    I I
    I
    T
    '\
    I
    I
    I
    \
    I
    I
    I
    I
    I
    I
    I
    I
    70
    I
    I
    I
    60
    I
    I
    I
    I
    I
    I
    50
    I
    I
    I
    i
    I
    40
    I
    I
    I
    I
    I
    30
    I
    I
    I
    I
    20
    I
    I
    I
    I
    I
    10
    I
    I
    I
    0
    .L
    I
    I
    I
    --
    -
    100
    10
    1
    0.1 .075
    GRAIN SIZE IN MILLIMETERS
    GRAVEL
    SAND
    Coarse
    I
    Fine
    Coarse
    I
    Medium
    I
    Fine
    SAMPLE NO.
    DEPTH, FT
    SYMBOL
    CLASSIFICATION
    11
    14.00
    o
    SILTY FINE SAND (SM) wth a few clay pockets and seams
    GRAIN.SIZE DISTRIBUTION CURVES
    Texas Offshore Port System, SPM #2 Anchor Leg #6
    Block A-56, Galveston Area
    ~by: 1f~1
    -~I'ff-OY--
    HYDROMETER
    0
    10
    20
    30
    l-
    I
    (9
    40
    >-
    OJ
    ~
    0
    UJ
    50
    ;;;
    UJ
    ~
    0::
    60
    I-
    Z
    UJ
    II
    0::
    70
    UJ
    "-
    80
    90
    100
    0.01
    0.002
    0.001
    SILT or CLAY

    alt
    I
    "-
    ...
    It
    "
    0
    h
    ~
    w
    0
    ~
    I
    I
    ~~
    ..
    ~~
    f
    ~
    0
    ~
    ~(
    iii
    ....
    ;,:.
    ~
    ~
    -~
    Il!
    ~
    u
    :t
    1.25
    1.00
    II)
    II)
    ....
    Q)
    en
    +"'
    ....
    0
    0.75
    +"'
    .;;:
    III
    Q)
    0
    "0
    Q)
    .~
    0.50
    III
    z
    ....
    0
    E
    0.25
    0.000
    4
    8
    12
    16
    Strain in Percent
    Maximum
    Confining
    Deviator
    Depth
    Test
    Pressure
    Stress
    E50
    [ttl
    Type
    [psi]
    [ks!]
    [%]
    Curve
    Sample
    No.
    e
    e
    6
    6.50
    UU
    39.4
    1.70
    0.9
    B-----fl
    13
    16.50
    UU
    54.2
    1.61
    10.2
    18
    24.50
    UU
    64.7
    1.11
    6.2
    24
    34.50
    UU
    64.9
    1.53
    1.2
    • Normalized with respect to maximum deviator stress.
    STRESS-STRAIN CURVES
    Unconsolidated-Undrained Triaxial Compression Test
    Texas Offshore Port System, SPM #2 Anchor Leg #6
    Block A-56, Galveston Area
    20
    I
    PLATEA-16a
    Report No. 0201-6503
    -~----------------------------------------

    alt
    1.25
    ..,
    ~
    I~
    .
    ~
    "
    1.00
    1-.
    ~
    ~
    I/)
    I/)
    ~
    <D
    I~
    ....
    (f)
    075
    ~
    o .
    "
    .s
    ....
    III
    <D
    0
    ""C
    <D
    .~
    0.50
    III
    z
    ....
    0
    E
    0.25
    I
    0.000
    ~
    ~~
    I
    ..
    ;,;
    ~
    m
    " "
    l(
    ~
    {j;
    11
    u
    >
    "
    ~
    '0
    :t
    4
    8
    12
    16
    Strain
    in Percent
    Maximum
    Confining
    Deviator
    Curve
    Sample
    Depth
    Test
    Pressure
    Stress
    850
    No.
    [ft]
    Type
    [psi]
    [ks!]
    ["!o]
    e
    e
    30
    44.50
    UU
    80.3
    2.01
    1.2
    B-----El
    35
    53.50
    UU
    121.2
    2.47
    1.0
    35
    53.50
    UUr
    121.2
    0.76
    2.2
    42
    65.00
    UU
    120.8
    2.38
    1.2
    • Normalized with respect to maximum deviator stress.
    STRESS-STRAIN CURVES
    Unconsolidated-Undrained Triaxial Compression Test
    Texas Offshore Port System, SPM #2 Anchor Leg #6
    Block A-56, Galveston Area
    1
    Report No. 0201-6503
    ._@------
    20
    PLATEA-16b

    alt
    1.25
    ~
    ..
    I;
    1.00
    0
    I"
    III
    I~
    III
    -
    ....
    Q)
    (f)
    Ii
    Ci 0.75
    ii
    -
    ro
    .s:
    Q)
    0
    -0
    Q)
    .~
    ro
    0.50
    ....
    E
    I
    z
    0
    1
    0.25
    I
    ~~
    0.000
    4
    8
    12
    16
    i
    ~)t
    ~~
    .e
    ai
    il
    0
    \
    ..
    ;;
    R\
    ~
    ii
    ~l':
    .:
    g
    ~
    ~
    o
    :t
    I
    Report No. 0201-6503
    -@--.
    Strain in Percent
    Maximum
    Confining
    Deviator
    Depth
    Test
    Pressure
    Stress
    [tt)
    Type
    [psi)
    [ksf]
    Curve
    Sample
    No.
    (7-----<0
    42
    65.00
    UUr
    121.2
    0.86
    G
    El
    47
    77.50
    UU
    120.5
    2.58
    47
    77.50
    UUr
    120.1
    0.70
    49
    86.50
    UU
    120.1
    2.30
    • Normalized with respect to maximum deviator stress.
    STRESS-STRAIN CURVES
    Unconsolidated-Undrained Triaxial Test
    E50
    [%)
    0.9
    0.9
    0.7
    1.1
    Texas Offshore Port System, SPM #2 Anchor Leg #6
    Block A-56, Galveston Area
    20
    PLATE A-16c

    alt
    I>.
    ~
    "-
    I;
    [(
    0
    I..
    'i
    I~
    0
    ~
    I
    I
    l~
    " .
    o
    0
    I
    "
    !i
    ~~
    '"
    >.
    ~
    I~
    ~
    I
    g
    8:
    (j
    -<
    1.25
    1.00
    (/)
    (/)
    Q)
    '-
    -
    (f)
    -
    (; 0.75
    .;;
    ctl
    Q)
    0
    "0
    Q)
    .~
    0.50
    ctl
    E
    L-
    z
    0
    0.25
    0.000
    I
    I
    r
    1-
    .l
    4
    8
    12
    16
    Strain in Percent
    Maximum
    Confining
    Deviator
    Curve
    Sample
    Depth
    Test
    Pressure
    Stress
    g50
    No.
    [ft]
    Type
    [psi]
    [ksf]
    [%]
    e
    e>
    52
    97.50
    UU
    120.6
    4.49
    0.7
    B----fJ
    55
    107.50
    UU
    120.4
    4.12
    0.4
    58
    117.50
    UU
    121.3
    4.30
    0.8
    * Normalized with respect to maximum deviator stress.
    STRESS-STRAIN CURVES
    Unconsolidated-Undrained Triaxial Compression Test
    Texas Offshore Port System, SPM #2 Anchor Leg #6
    Block A-56, Galveston Area
    I
    Report No.
    0201.6503
    -~---------~----
    20
    PLATE A-16d

    alt
    ANALYTICAL PROCEDURES
    CONTENTS
    Page
    CRITERIA FOR AXIAL PILE LOAD ANALYSIS ..........................................................................................8-1
    Method of Analysis ..........................................................................................................................8-1
    Unit Skin Friction .............................................................................................................................
    8-1
    Cohesive Soils ...................................................................................................................8-1
    Granular Soils ....................................................................................................................
    8-2
    Unit End Bearing .............................................................................................................................8-2
    Cohesive Soils ...................................................................................................................
    8-2
    Granular Soils ....................................................................................................................8-2
    Equivalent Unit End Bearing ..............................................................................................8-2
    CRITERIA FOR AXIAL LOAD TRANSFER DATA ......................................................................................8-3
    Side Friction Versus Pile Movement Data ......................................................................................8-3
    Cohesive Soils ...................................................................................................................B-3
    Granular Soils ........
    ~
    ...........................................................................................................B-3
    Tip Load Versus Tip Movement Data .............................................................................................B-3
    CRITERIA FOR LATERAL SOIL RESISTANCE-PILE DEFLECTION DATA ..............................................B-3
    Cohesive Soils ....................................................................................................'...........................
    8-3
    Granular Soils .................................................................................................................................8-4
    SCOUR EFFECTS .......................................................................................................................................B-5
    SERVICE WARRANTY ................................................................................................................................
    8-6
    ILLUSTRATIONS
    Plate
    Summary of Recommended Design Parameters (API RP 2A, 2000) for
    Cohesionless Siliceous Soils ..........................................................................................................8-1
    Typical Side Load Transfer (t-z) Curves .......................................................................................................
    8-2
    Typical Pile Tip Load Transfer (Q-z) Curves ................................................................................................8-3
    Typical Lateral Load-Pile Deflection (p-y) curves .........................................................................................8-4
    I
    Report No. 0201-6503
    -~--------------------------------------

    alt
    CRITERIA FOR AXIAL PILE LOAD ANALYSIS
    In this report, the word "pile" is used as a generic term for foundation piles, caissons and
    conductors. The installation
    of caissons and conductors is the same as that of foundation piles, except that
    the soil plug
    is later removed or disturbed, thus reducing the end bearing component. For this reason, the
    end bearing of caissons
    and conductors is neglected in capacity computations.
    Method of Analysis
    The static method of computing axial pile capacity described
    in API RP 2A (2000) is used to
    compute ultimate compressive and tensile capacities
    of pipe piles installed to a given penetration. In this
    method, the ultimate compressive capacity,
    Q, for a given penetration is taken as the sum of the skin
    friction
    on the pile wall, Q" and the end bearing on the pile tip, Qp, so that:
    Q
    =
    Q,+ Q
    p
    =
    fA, + qAp
    where A, and Ap represent, respectively, the embedded surface area and pile end area; f and q represent,
    respectively, the unit skin friction and unit end bearing. Procedures used to compute values of f and q are
    discussed
    in the following paragraphs. When computing ultimate tensile capacity or compressive capacity
    of conductors and caissons, the end bearing term in the above equation is neglected.
    Unit Skin Friction
    Cohesive Soils.
    Computation
    of Q, for pipe piles embedded in cohesive soils is done in
    accordance with the API RP 2A recommendations. According to API RP 2A-WSD (2000), Sec. 6.4.2 or
    API RP 2A-LRFD (1993), Sec. G.4.2, the unit skin friction may be expressed as:
    f
    =
    a
    Su
    where:
    a
    =
    a dimensionless factor; and
    S,
    =
    undrained shear strength of the soil at the point in question.
    The factor a
    is computed by:
    a
    =
    0.5 IV
    -0.5
    for IV ,;; 1.0, or
    a
    =
    0.5 IV
    -0.25
    for IV > 1.0
    with the constraint that a
    ,;; 1.0,
    where:
    IV
    =
    SJcr', for the point in question, and
    cr',
    =
    effective vertical stress at the point in question.
    The undrained shear strength used
    in our computations and the values of submerged unit weight used to
    compute effective vertical stress are presented
    in the main report along with the resulting skin friction
    values.
    I_@Report No. 0201-6503
    B-1

    alt
    Granular Soils.
    The procedure recommended by API RP 2A-WSD (2000), Sec.
    6A.3
    or
    API
    RP 2A-LRFD (1993), Sec.
    GA.3
    is used to determine unit skin friction in granular soils.
    Unit skin
    friction,
    f, for granular soils is computed from the expression:
    f
    =
    Ko-',tano
    where:
    K
    =
    coefficient of lateral earth pressure,
    a"
    =
    effective vertical stress, and
    o
    =
    angle of friction between soil and pile.
    API RP 2A recommends values for K of 0.8 for open-ended pipe piles driven unplugged, and 1.0 for
    full displacement piles (plugged or close-ended).
    API RP 2A presents recommended values for 0, the angle of friction acting between the soil and
    pile and specifies limiting values
    of skin friction. The recommended values for granular deposits composed
    primarily
    of silica are related to the density and composition of the granular deposits, and are presented on
    Plate B-1.
    Unit End Bearing
    Cohesive Soils.
    The procedure recommended by API
    RP 2A-WSD (2000), Sec.
    6A.2
    or
    API
    RP 2A-LRFD (1993), Sec.
    GA.2
    is used to determine unit end bearing, q, in clays. Unit end bearing in
    clays can be estimated by the following equation:
    q
    =
    9 Su
    where:
    Su
    =
    undrained shear strength.
    Granular Soils. Unit end bearing
    in granular soils is computed by API RP 2A-WSD (2000),
    Sec. 6.4.3 or API
    RP 2A-LRFD (1993), Sec.
    GA.3
    using the expression:
    where:
    q
    =
    a'v
    N
    q
    a'v
    =
    effective vertical stress, and
    N.
    =
    a dimensionless bearing capacity factor that is a function of q" the angle of internal
    friction of the material.
    Recommended bearing capacity factors,
    N., for granular soils composed primarily of silica are given in
    API RP 2A and are presented on Plate B-1. Also shown on Plate B-1 are limiting unit end bearing values.
    Equivalent
    Unit End Bearing. For open-ended driven pipe piles, the end bearing is limited to the
    frictional resistance of a soil plug developed inside the pile. The total skin friction on the inside
    of the pile is
    assumed equal to the total skin friction on the outside of the pile. Any influence
    of the driving shoe on the
    internal skin friction
    is neglected. The end bearing on the steel end area of the pile is also neglected. The
    assumptions made
    in the analyses make no difference in the unit end bearing below the point where the
    pile plugs (I.e., equivalent unit end bearing becomes equal to unit end bearing). Above this point, the unit
    end bearing
    is limited by the frictional resistance of the soil plug.
    I
    Report No. 0201-6503
    ~@---~
    8-2

    alt
    ,I
    CRITERIA FOR AXIAL LOAD TRANSFER DATA
    An axial load-pile movement analysis requires load transfer data on the skin friction along the side
    of the pile (t-z data) and the end bearing
    on the pile tip (Q-z data). Recommended procedures are given in
    API RP 2A-WSD (2000), Sec. 6.7 or API RP 2A-LRFD (1993), Sec. G.7.
    Side
    Friction Versus Pile Movement Data
    Axial side load transfer curves are different for cohesive soils (clay) and granular soils (sand).
    Typical axial side load transfer-displacement (t-z) curves for both material types are illustrated on Plate B-2
    and discussed below.
    Cohesive Soils, The side friction versus pile movement (t-z) curve for cohesive soils is given
    in
    API RP 2A-WSD (2000), Sec.6.7.2 or API RP 2A-LRFD (1993), Sec. G.7.2, and is the same for
    compressive
    and tensile loading. The maximum side friction, t
    ma"
    at the pile-soil interface is taken as the
    ultimate skin friction,
    f, as determined by API RP 2A-WSD (2000), Sec. 6.4.2 or API RP 2A-LRFD (1993),
    Sec. G.4.2.
    The post peak adhesion ratio for clays can range from 0.90 to 0.70 for highly plastic, normally
    consolidated clays, to
    as low as 0.50 for low plasticity, highly overconsolidated clays. The recommended
    adhesion ratios beyond peak values for static loading conditions are given
    in the report text.
    Granular Soils. The side friction versus pile
    movement
    (t-z) curve for granular soils is presented in
    API RP 2A-WSD (2000), Sec. 6.7.2 or API RP 2A-LRFD (1993), Sec. G.7.2. The maximum side friction,
    t
    max,
    at the pile-soil interface is the ultimate unit skin friction, f, determined by API RP 2A-WSD (2000),
    Sec. 6.4.3
    or API RP 2A-LRFD (1993), Sec. G.4.3.
    Tip Load Versus Tip Movement Data
    Relatively large axial
    movements
    may be required to mobilize full end bearing resistance. End
    bearing or tip load increases with displacement of the pile tip. The development of full end bearing occurs
    at a displacement equal to 10 percent
    of the pile diameter according to API RP 2A. The tip load versus tip
    movement
    curve is given in API RP 2A-WSD (2000), Sec. 6.7.3 or API RP 2A-LRFD (1993), Sec. G.7.3.
    The end bearing component should not
    be considered when tensile loads are applied to a pile. Typical pile
    tip-load-displacement (Q-z) curves are presented
    in Plate B-3.
    CRITERIA FOR LATERAL SOIL RESISTANCE-PILE DEFLECTION DATA
    API RP 2A recommends that pile foundations be designed for lateral loading conditions. The lateral
    soil structure interaction is complex and the soil response
    to lateral loading is generally nonlinear. To
    analyze this complex interaction, a computer program based
    on the finite difference or finite element
    method is normally used.
    The nonlinear soil response
    is input into these methods with lateral soil
    resistance-pile deflection (p-y) curves. The methods for constructing p-y curves follow.
    Cohesive
    Soils
    Soil resistance-pile deflection (p-y) data for cohesive soils are developed using the procedure
    outlined by Matlock (1970) for soft clays subjected to cyclic loads and adopted by API
    RP 2A-WSD (2000),
    Sections 6.8.2 and 6.8.3. Interpreted shear strengths, submerged unit weights, and strain
    values
    at one-
    I_@
    Report No. 0201-6503
    B.3

    alt
    I
    I I
    I
    \
    I
    I
    !
    I
    half the maximum deviator stress
    (E50)
    used in our computations are presented in the text illustrations.
    These strain values were selected based on data from unconsolidated-undrained triaxial compression tests.
    The ultimate lateral soil resistance
    (Pus) increases from 3SuD to 9S
    u
    D as X increases from 0 to X
    R
    according to:
    Pus
    and
    Pud
    where:
    Pu
    Su
    0
    y
    J
    X
    X
    R
    =
    =
    =
    =
    =
    =
    =
    =
    =
    3S
    u
    D +
    yXD + JSuX
    9SuD for X
    ~
    X
    R
    ultimate resistance (s
    =
    shallow, d
    =
    deep),
    undrained shear strength for undisturbed clay soil samples,
    pile diameter,
    effective unit weight of soil,
    dimensionless empirical constant with values ranging from 0.25 to 0.5
    having been determined by field testing. A value of 0.5 is appropriate for
    Gulf of Mexico clays,
    depth below soil surface, and
    depth below soil surface to bottom of reduced resistance zone.
    The deflection values
    (y)
    are a function of the pile diameter and
    E50.
    Typical curve shapes are
    shown
    on Plate B-4.
    Granular
    Soils
    Soil resistance-pile deflection (p-y) data for granular soils are developed using the procedure
    outlined by O'Neill and Murchison (1983) for sands subjected to cyclic loading and adopted by API
    RP 2A-
    WSD (2000)
    in Sections 6.8.6 and 6.8.7. Input parameters include submerged unit weight, angle of internal
    friction,
    and the initial modulus of horizontal subgrade reaction. These values are presented in the text
    illustrations. Values of initial modulus of subgrade reaction are selected from the recommendations
    in
    API RP 2A based on our interpretation of the soil relative density from sampler driving resistance records
    and grain size analyses.
    I__
    ~R_e_p_o_rt_N_O_.O_2_0_1_-6_5_03
    ____________________________________________________________________B_4________

    alt
    I
    ,
    ;,I
    I
    ,
    .1
    At a given depth, the following equation giving the smallest
    value
    of Pu should be used as the
    ultimate lateral bearing capacity in granular soils.
    Pu,
    =
    (C, H + C
    2
    0) YH
    and
    Pud
    =
    C
    3
    0y H
    where:
    Pu
    =
    ultimate resistance (s
    =
    shallow, d
    =
    deep),
    y
    =
    effective
    unit weight of soil,
    H
    depth,
    C
    lo
    C
    2,
    C
    3
    =
    coefficients, and
    o
    average
    pile diameter from surface to depth.
    The shape
    of the p-y curve in granular soil is defined by the following equation:
    [
    k H
    ]
    P
    = Apu tanh
    --y
    A Pu
    where:
    A
    =
    factor to account for cyclic or static loading condition,
    Pu
    =
    ultimate bearing capacity at depth H,
    k
    =
    initial modulus of subgrade reaction,
    y
    =
    lateral deflection, and
    H
    =
    depth.
    The shape of typical granular p-y curves is illustrated on Plate 8-4.
    SCOUR EFFECTS
    Whenever the near-surface soils are comprised
    of granular material, they may be susceptible to
    scour. Scour effects are considered insignificant to axial capacity but can
    have
    a large influence on lateral
    capacity. When scour
    is considered likely, the p-y data are reduced to reflect the potential loss of lateral
    support from the material scoured away near the seafloor around the pile. General scour indicates that
    installation of the structure may cause a layer of material to be removed throughout the area of the platform.
    Local scour indicates that scour is likely to occur only
    in the near vicinity of the piles.
    I___
    ~
    R_e_p_o_rt_N_O_._02_0_'_-6_5_03______________
    ~
    ___________________________________________________B_-5_______

    alt
    ,I
    SERVICE WARRANTY
    The "Service Warranty" outlines the limitations and constraints of this report
    in terms of a range of
    considerations including, but not limited
    to, its purpose, its scope, the data on which it is based, its use by
    third parties, possible future changes
    in design procedures and possible changes in the conditions at the
    site with time. This section represents a clear description of the constraints which apply to all reports issued
    by FMMG. It should
    be noted that the Service Warranty does not in any way supersede the terms and
    conditions of the contract between FMMG and the Client.
    1. This report and the assessment carried out in connection with the report (together the "Services") were
    compiled and carried out by Fugro-McCleliand Marine Geosciences, Inc. (FMMG) for the Client
    in
    accordance with the terms of the Contract. Further, and in particular, the Services were performed by
    FMMG taking into account the limits
    of the scope of works required by the Client, the time scale
    involved, and the resources, including financial and manpower resources, agreed between FMMG and
    the Client. FMMG has not performed any observations, investigations, studies
    or testing not specifically
    set out or required by the Contract between the Client and FMMG.
    2. The Services were performed by FMMG exclusively for the purposes of the Client. Should this report or
    any part of this report, or details of the Services
    or any part of the Services be made known to any third
    party, such third party shall not rely
    on the report unless FMMG provides guidance required to interpret
    the report,
    Le., respond to non-operational questions. If such Ihird party does rely on the report without
    obtaining FMMG's guidance, it does so wholly at its sole risk and FMMG disclaims
    all liability resulting
    from third party use of the report.
    3. It is FMMG's understanding that this report is to be used for the purpose described in the report. That
    purpose was a significant factor
    in determining the scope and level of the Services. Should the purpose
    for which the report
    is used, and/or should the Client's proposed development or use of the site change
    (including
    in particular any change in any design and/or specification relating to the proposed use or
    development of the site), this report may no longer be valid or appropriate and any further use of, or
    reliance upon, the report
    in those circumstances by the Client without FMMG's review and advice shall
    be at the Client's sole and own risk. Should FMMG be requested, and FMMG agree, to review the
    report after the date hereof, FMMG shall be entitled to additional payment at the then existing rates or
    such other terms
    as may be agreed between FMMG and Client.
    4. The passage of time may result in changes (whether man-made or otherwise) in site conditions and
    changes
    in regulatory or other legal provisions, technology, methods of analysis, or economic
    conditions, which could render the information and results presented
    in the report inaccurate or
    unreliable. The information, recommendations and conclusions contained
    in this report should not be
    relied upon if any such changes have taken place, without the written agreement of FMMG. In the
    absence of such written agreement of FMMG, reliance
    on the report after any such changes have
    occurred shall be at the Client's own and sole risk. Should FMMG agree to review the report after such
    changes have taken place, FMMG shall be entitled to additional payment at the then existing rates or
    such other terms
    as may be agreed between FMMG and the Client.
    5. Where the Services have involved FMMG's interpretation and/or other use of any information (including
    documentation or materials, analyses, recommendations and conclusions) provided by third parties
    (including independent testing and/or information, services or laboratories) or the Client and upon which
    FMMG was reasonably entitled to rely
    or involved FMMG's observations of existing physical conditions
    of any site involved
    in the Services, then the Services clearly are limited by the accuracy of such
    information and the observations which were reasonably possible of the said site. Unless otherwise
    stated, FMMG was not authorized and did not attempt
    to independently verify the accuracy or
    completeness
    of such information, received from the Client or third parties during the performance of
    I
    ~~=1_
    ~
    -~----------------------------------

    alt
    ;I
    I
    I
    the Services. FMMG is not liable for any inaccuracies (including any incompleteness) in the said
    information, save as otherwise provided
    in the terms of the contract between the Client and FMMG.
    6. The soil and ground conditions information provided in the Services are based solely on evaluations of
    the
    soil. and ground condition samples (and in situ tests) at determined sample test locations and
    elevations. That information cannot be extrapolated to any area or elevation outside those locations
    and elevations unless specifically so stated in the report.
    In the light of the information available to
    FMMG, the soil and ground conditions information
    is considered appropriate for use in relation to the
    geotechnical design and installation aspects of the structures addressed in the report, but they may not
    be appropriate for the design of other structures.
    I__
    ~
    R_e_
    p
    _o_rt_N_O_._02_0_1_-6_5_03_____________________________________________________________________B_-7________

    alt
    ---------------------------------~-
    £099-~OZO
    .ON
    lJodalj
    I '
    I .
    I
    ,(
    I
    I ,
    I '
    SNOI.L,O,~.LSnlll
    L
    8 XION3dd'o'
    I
    ~
    I '
    I,
    (
    I
    ----------------------------------------1
    I '

    alt
    ..
    ~